三相电动机的3次谐波
时间:2023-03-13来源:佚名
|
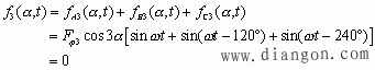
对3次谐波,v=3,类似于三相绕组磁动势基波的合成,可得:
故得3次谐波的合成磁动势为
上式表明,各相绕组产生的3次谐波磁动势 在对称的三相电机中,3的倍数次谐波磁动势也有同样的性质,所以合成磁动势中也不存在3的倍数次谐波,即不存在9、15……等次谐波。 |
|
对3次谐波,v=3,类似于三相绕组磁动势基波的合成,可得:
故得3次谐波的合成磁动势为
上式表明,各相绕组产生的3次谐波磁动势 在对称的三相电机中,3的倍数次谐波磁动势也有同样的性质,所以合成磁动势中也不存在3的倍数次谐波,即不存在9、15……等次谐波。 |






