LC并联谐振回路
时间:2023-03-13来源:佚名
|
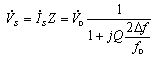
图Z1005为一LC并联谐振回路,其中R为线圈的损耗电阻。该回路的阻抗 ![]() ![]() 该回路的谐振频率为 f0= ![]() 并联谐振回路的特点是,谐振时回路阻抗最大且为纯电阻,即Z0=R0= ;谐振阻抗为感抗或容抗的Q倍,即Z0=Qω0L=Q ∕ω0C。 式中 Q= 一般Q远大于1。 当电流一定时,电感或电容两端的电压最大,若偏离谐振频率,回路阻抗及电压将明显减小。 1.回路电压的幅频特性 在谐振频率附近,ωL>>R,f f0≈2f,式GS1007可整理成 Z= ![]() 回路电压 ![]() 电压幅频特性: ![]() 其表达式和特性曲线与串联回路相同。 2.回路通频带和选择性 由GS1008式可求出并联回路的通频带 B=2Δf= Q愈大,通频带愈窄;Q愈小,通频带愈宽。 与串联回路选择性分析一致,并联回路谐振曲线的矩形系数Kr=9.96,即选择性也较差,但这种电路结构简单,调试方便,常用于接收机的中频放大电路之中。 |



;谐振阻抗为感抗或容抗的Q倍,










