同步发电机的运行特性
|
1.空载特性 同步发电机的空载、短路及零功率因数特性都是同步发电机的基本特性,通过它们可以求出同步电机的同步电抗及漏电抗,以确定同步发电机的其他特性。 当同步发电机运行于n=n1,Ia=0时,即称为空载运行。 (1)同步发电机空载特性曲线的测定 同步发电机达到同步转速后,加入励磁电流,改变励磁电流,空载电势也随之改变。 ①励磁电流由零升至最大值 ②励磁电流由最大值降为零 由于铁磁材料磁滞的原因, 空载电势略有不同,一般取下降得空载特性曲线
图1 同步发电机空载特性曲线 显然,此时我们通过改变励磁电流,则气隙中的旋转磁通及电枢绕组中的感应电动势都会随之发生变化。 (2)空载特性:空载时不同励磁电流和产生空载电势之间的关系,
图2 同步发电机空载特性 因E0正比于 ①空载特性可以反映出电机设计是否合理。如同前面所分析的情况一样,额定电压应位于空载特性开始弯曲的部分,这样才比较经济合理。 ②同步电抗是同步电机中一个极为重要的参数,同步电机的许多性能由它所决定。空载特性配合短路特性可以求出同步电抗。 2.短路特性 当同步发电机运行于n=n1,电枢三相绕组持续稳态短路(即U=0)时,称为短路运行。如改变它的励磁电流,三相短路电流也随之而改变。短路特性就是研究这两个量之间的变化关系,IK =f(If)曲线。 如果略去电枢电阻:
得到: 因为忽略了电阻效应,电枢是纯电感电路,短路电流滞后于电势90电角度,所以产生的电枢反应是直轴去磁效应。此时电机内的磁通很弱,磁路是不饱和的,所以同步电抗为一个常数。
图3 同步发电机短路特性 同步发电机定子绕组的出线端短路后,电枢电流I随励磁电流if变化,两者为什么成正比关系?
若忽略Ra, 则
三相短路时,由于 由于电枢磁势的直轴去磁作用,使电机中磁通小,磁路也不饱和,所以式上式中的Xd也是一个常数。 同步发电机在三相稳态短路时,由于短路电流所产生的电枢磁势对主磁极去磁,减少了电机中的磁通及感应电势,使短路电流不致过大,所以稳态的三相短路是没有危险的。 3.同步发电机的零功率因数负载特性 同步发电机的负载特性是在 n=nN、I=常数、cos 零功率因数负载特性由可变纯电感负载条件确保cosφ≈ 0 ,通过试验测得最右侧的一条曲线),测试中通常保持电枢电流 I=IN。
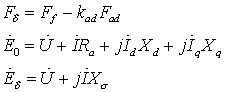
图4 同步发电机零功率因数负载特性 当电机容量较大时,由曲线逐点测取所要求的负载条件的作法代价很高。实用的作法是将电机并入电网作空载运行,调节励磁电流使电枢输出无功电流为IN,则得曲线上的额定点Q。再做电机的短路试验,测得 Ik=IN时的励磁电流为 Ifk,又得曲线上另一点,即短路点,工程中有这两点就够用了。 (1)零功率因数负载下的电磁关系 由于同步电机是在电感负载下运行,而电机本身的阻抗也是电感性的,因此,电势和电流之间夹角ψ=90°,所以电枢反应是纯粹的直轴去磁效应。 同步发电机在电感负载下运行,磁极磁势补偿了电枢反应去磁磁势后,剩余部分在电机气隙内产生磁通。所以励磁电流增加时,磁路能逐渐饱和,电压上升逐渐缓慢,使曲线弯曲,实际上,零功率因数特性曲线的形状与空载特性曲线颇为类似。 纯感性负载,纯去磁作用的电枢反应 Faq=0, Fad=Faa
端电压
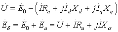
在上图中我们可以看出,当U=0时的情况。在空载特性上, U=0 时,if=0;而在零功率因数曲线上,U=0 时,if = OC。为什么在零功率因数曲线上,电压为零时,励磁电流不为零呢? (1)零功率因数特性是在 U=0定值条件下得到的,由于绕组中流过电流,产生漏抗压降IXσ,所以需要一定励磁电流,以产生电势来平衡此漏电抗压降。 (2)零功率因数曲线是在纯电感负载下得到的,从图右以看出,此时的电枢反应是一个纯粹的去磁作用,所以再需要一定的励磁电流来抵消此电枢反应去磁作用的影响。
图5 同步发电机零功率因数负载特性的特性三角形 ΔABC称为特性三角形,它的垂直边是定子漏抗压降,水平边是电枢反应去磁磁势,这两边都正比于电枢电流,因此在电枢电流一定时,此特性三角形的大小不变。所以当特性三角形的A点在空载特性上移动时,C点的轨迹就是零功率因数特性。当然也可以用作图的方法求特性。 4.外特性: (1)定义:在 n=n1,If=常数,cos
(2)感性负载,阻性负载电枢反应有去磁的作用,曲线下降 容性负载,助磁电枢反应,曲线为上升。
图6 同步发电机外特性 (3)电压变化率的概念 发电机在额定负载下I=IN,
△U%是发电机性能的重要数据,以前人口调节励磁时对△U%要求较严,而现代有快速的自动 调压装置,△U%放宽一些,但 汽轮机△U%(30-485) 凸极机△U%(18-30%) 5.调整特性: 调整特性:n=n1, U=const,cos 物理意义:维持端电压不变,励磁电流需随负载电流的大小变化进行调节; 在感性负载时,随负载增大,需增加励磁以抵消电枢反应的去磁作用; 在容性负载时,随负载增大,需减小励磁以平衡电枢反应的助磁影响。
图6 同步发电机调整特性 |


0,而励磁电流又正比于励磁磁势,所以空载特性曲线与电机的磁化曲线在形状上完全相同。空载特性主要有两个用处: 





滞后于
90电角度,即ψ=90°,因此在凸极电机中,短路电流全是直轴分量,而交轴分量为零。所以




=常数 的条件下,同步发电机作单机运行,端电压U随负载电流而变化的关系特性曲线U=f(I)。

,U=UN运行时的励磁电流称为额定励磁电流。保持此励磁和转速不变,卸去负载,读取空载电动势的电压变化率
=const,作单机运行,负载电流I与励磁电流If的关系






