电机转子绕组折算
时间:2023-03-13来源:佚名
|
和变压器相似,为了使用等效电路图来简化分析和计算,可把异步电机的转子绕组折算为一个相数、匝数和绕组系数都与定子侧相同的等效转子。转子中所有的参数折算成定子侧的后,在原有符号的右上角打一撇表示。而这个新的转子多相电流系统能产生与原来一样的转子磁场,使得作为原边的定子绕组中的各个物理量 1.保持折算前后转子磁动势F2的大小不变,由
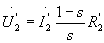
得到转子电流的折算值:
2.由于电机中主磁通Φm没有任何改变,转子绕组感应电动势的大小在折算前后仅与绕组匝数和绕组系数有关,得电动势折算值:
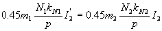
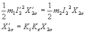
3.根据转子上功率和损耗不变的原则,如由转子铜耗和漏磁场储能不变有:
即:
综上所述,可得用转子折算值表示的异步电机的基本方程式组:
|
、
、Fm、F1、Φm完全不受影响,而转子侧的各种功率和损耗也都不改变,因而电机中的电磁本质和能量转换关系均将保持不变。由于转子对定子的影响是通过转子磁动势来实现的,因此上述的折算条件是:折算前后转子磁动势F2的大小和相位仍保持不变。折算方法与变压器完全相同:
(1)
(2)
(3)

(4)




(5)






