数制

时间:2023-03-13来源:佚名

  1.十进制数
  在表示物理量的大小时,一般使用进位计数制。十进制(Decimal System)是最常用的进位数制,它采用了0、1、2、3、4、5、6、7、8、9十个计数符号,这些计数符号称作数码,数码的个数叫做基数。进位计数制是把数码按一定规律排列起来表示数的。具体地说,在计数过程中,当某一位累计到基数时,便向高位进一,而本位又从零开始计数。十进制的基数为10,所以十进制的计算规则是“逢十进一”。因此,在进位计数过程中,当数码处于不同位置时,所表示的数值大小是不同的。例如,十进制数165.8可以展开为
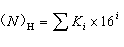
       数制
  一个十进制数 N可以表示成:数制
  式中,Ki为基数“10”的第i次幂的系数,数制
  2.二进制数
  若在数字电路中采用十进制,在电路实现上必须要有十个状态与十个数码相对应。在技术上有许多困难,而且很不经济。 二进制在电路上却很容易实现,所以就自然成为数字电路中最常用的进位计数制。
  二进制数采用0和1两个数码,其基数是2,计数时“逢二进一”。例如:
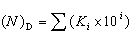
数制
  一个二进制数 N可以表示成: 数制
  式中,Ki为基数2的第i次幂的系数,数制
可以看出,二进制数与十进制数的区别在于数码的个数和进位的规律不同。一个二进制数可以转换为与其等效的十进制数,转换时只要把每一位的等值十进制数相加就可以了。例如,将二进制数1011.01转换为十进制数:
    数制
  3.十六进制数
  为了克服二进制位数多、不便于书写和记忆的缺憾,在数字电路中还常采用 十六进制。十六进制采用0~9和A、B、C、D、E、F十六个数码,其中A~F分别对应于十进制数的10~15。十六进制的基数是16,计数时“逢十六进一”。例如:
       数制
  一个十六进制数N可表达如下:数制
式中Ki为基数16的第i次幂的系数,数制
  将十六进制数中每一位的等值十进制数相加,就可得到等效的十进制数。如:
      数制
  由于四位二进制数正好等于一位十六进制数,因此,二进制数与十六进制数可以很方便地相互转换。将二进制数转换成十六进制数时,以小数点为界,沿前后两个方向把四位二进制数划为一组,把每一组用等值十六进制数代替,便得到等值十六进制数。例如:
     数制
  反之,将十六进制数转换为二进制数时,只要将十六进制数逐位用相应的四位二进制数代替即可。例如:
     数制
  由此可见,同一个数,用十六进制记数要比用二进制记数方便得多,再加上二进制与十六进制之间的转换很容易,因此,在数字系统中也经常用十六进制记数。

  4.十进制数转换成二进制数
  前面已经介绍过如何将二进制和十六进制数转换成十进制数,也介绍了二进制与十六进制之间的转换。现在介绍如何把十进制数转换成二进制数。
  将十进制数转换成二进制数,要对整数部分和小数部分分别进行。整数部分的转换方法可以概括为“除二取余,余数倒排”;小数部分的转换方法可以概括为“乘2取整,整数顺排”。例如,将十进制数(25)D转换为二进制数。

 数制

  至于十进制数转换成十六进制数,可先将十进制数转换成二进制数,再将二进制数转换成十六进制数。为便于对照,将十进制、二进制和十六进制之间的关系列于表1中。

              表1 几种数制之间得关系对照表

  数制

相关阅读

电源防反接电路图 分享三种电源防反接电路设计方案

二极管串联 以常用的5V/2A为例。常用二极管串联在电路中,在电源反接时,二极管承担所有的电压,有效防止电源反接损坏后级设备。但是,二极管上压降较大,损耗较高。使用肖特基...
2023-08-16
电源防反接电路图 分享三种电源防反接电路设计方案

PLC的硬件设计和软件设计及调试

1. plc 的硬件设计 PLC 硬件设计包括: PLC 及外围线路的设计、电气 线路的设计和抗干扰措施的设计等。 选定 PLC 的机型和分配 I/O 点后,硬件设计的主要内容就是电气控制系统的原理图...
2023-03-21

S7200SMART PLC 模拟量输入案例

一、 导读 模拟量的概念应用场景 在实际的工业控制应用中 , PLC 控制即可完成基本的逻辑动作的控制 , 也可完成一些应用控制 ,如 模拟量应用控制 。 在了解模拟量控制之前,我们...
2024-03-21

焊接机器人日常维护及保养

一.日检查及维护 1.送丝机构。包括送丝力距是否正常,送丝导管是否损坏,有无异常报警。2.气体流量是否正常。3.焊枪安全保护系统是否正常。(禁止关闭焊枪安全保护工作)4.水循环系...
2023-03-21

直流给电容充电时,是怎么产生充电电流?

关键是:电容两端的电压不允许突变。所以当接通电源瞬间,电容两端的电压等于零,然后电压按指数规律上升,直到进入稳态。进入稳态后的电容相当于短路。 图1:电容充电时的过...
2023-03-31
直流给电容充电时,是怎么产生充电电流?

热销商品

加厚abs安全帽电工建筑工地程施工领导监理透气防砸头盔可印字V型

这款加厚ABS安全帽专为电工、建筑工地施工人员、领导及监理设计,采用高强度ABS工程塑料,抗冲击、防砸性能优异,有效保障头部安全。帽体加厚设计,增强耐用性与防护等级...
5.8

欧普led筒灯3w孔灯超薄桶灯吊顶天花灯过道嵌入式洞灯客厅5w

欧普LED筒灯是一款高品质嵌入式照明产品,适用于客厅、过道、吊顶等多种场景。采用优质LED光源,提供3W和5W两种功率选择,光线柔和均匀,显色指数高,有效还原真实色彩。超...
7.45

水口钳高硬度模型剪钳电子钳工业级口水剪斜嘴钳偏口斜口专用钳子

水口钳高硬度模型剪钳是一款工业级精密工具,专为电子、模型制作及精细作业设计。采用优质高碳钢材质,经热处理工艺打造,具备卓越的硬度和耐磨性,可轻松剪切金属引脚、...
4.8

170电子剪钳II 如意斜口钳 工业斜嘴钳水口钳 模型剪塑胶钳尖嘴钳

170电子剪钳II如意斜口钳是一款专业级精密工具,集工业斜嘴钳、水口钳、模型剪、塑胶钳与尖嘴钳功能于一体,适用于电子维修、模型制作、手工艺及精密作业。其采用优...
4.5

安全帽国标工地加厚施工领导透气安全头盔建筑工程监理免费印字

本款安全帽严格遵循国家GB 2811-2019标准,专为建筑工程、工地施工及监理人员设计。采用高强度ABS工程塑料,加厚壳体有效抗冲击,保障头部安全。帽体轻盈透气,内置可调...
10

网站栏目