单相绕组的磁动势
时间:2023-03-13来源:佚名
|
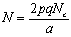
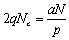
由于各对极下的磁动势和磁阻分别组成一个对称独立的分支磁路,所以一相绕组的磁动势就等于上述双层短距线圈组的磁动势。为了使式在实用中更为简便,一般把式用每相电流的有效值与每相每一支路串联匝数N来表示。设绕组的相电流为I,绕组的并联支路数为
对基波磁动势
习惯上,用电角度来表示空间的位置,即有
对高次谐波磁动势
这样,整个脉振磁动势方程式可由式(1)改写成
(6)式的坐标原点应取在该相绕组的轴线处。 1)单相绕组的通以交流电,产生的磁动势是一脉振磁动势,沿圆周呈阶梯形分布。可以将阶梯形分布的磁动势分解为基波和一系列高次谐波,基波和高次谐波均为脉振波。 2)基波磁动势和高次谐波磁动势既是时间的函数,空间某处的磁动势随时间正弦变化,又是空间的函数,基波磁动势和高次谐波磁动势沿空间正弦分布。 3)磁动势绕组系数的计算和电动势的相同,说明磁动势的计算和电动势的计算相似,反映了时间波和空间波的统一。 4)磁动势基波幅值的位置在该相绕组的轴线上,高次谐波磁动势也必有一个幅值处在该相绕组的轴线上。 |
,则线圈中的电流
,另外,和求绕组电动势时相同,每相每一支路串联匝数
,即有:
。将之代入式中,即可得到双层、短距、分布的单相绕组磁动势的公式
(1)
(2)
(3)
(4)
(5)
(6)







