整距线圈组的磁动势
时间:2023-03-13来源:佚名
|
将每极下属于同一相的线圈串联起来,就成为一个线圈组。图1(a)示出一个整距q=3的线圈组的合成磁动势。由此图可见,每个整距线圈产生的磁动势都是矩形波,将三个矩形波迭加,即可求得线圈组的合成磁动势,如图1(a)中粗线条的阶梯波所示。其基波如图1(b)所示。
图1 整距线圈组的磁动势 由于基波磁动势在空间按正弦规律分布,故可用空间矢量表示。把q个互差
上式中
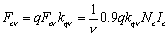
称为基波磁动势的分布系数,它和基波电动势的分布系数公式一样,表示分布线圈基波合成磁动势与具有所有分布线圈相同匝数的集中线圈基波磁动势的比值。 同理,可以推得线圈组的高次谐波磁动势Fqv为
式中
显然,和电动势分析的结论一样,采用分布绕组,也可以削弱高次谐波磁动势,改善磁动势波形。 |

电角的基波磁动势矢量相加,即可求得线圈组的合成磁动势基波幅值
,如图(c)所示。不难看出,用磁动势矢量相加求线圈组合成磁动势的方法与用电动势相量相加求分布绕组合成电动势的方法相同。这样,借助于前面图求合成电动势的方法,可以求得线圈组的合成磁动势基波幅值
(1)
(2)
(3)
为
次谐波磁动势的分布系数。和电动势的
(4)






