椭圆形旋转磁动势
|
对称的三相绕组的通以对称的三相电流时,三相合成磁动势基波的为幅值恒定,幅值位置随时间变化的旋转磁动势,幅值的轨迹为一圆形,此磁动势称为圆形旋转磁动势。假如对称的三相绕组所流过的电流不是三相对称,例如三相定子绕组有一相断线,如图1,其合成磁动势又是什么样性质的磁动势?
a) Y连接三相绕组C相断线 b)△连接三相绕组△内部某相断线 先来分析Y连接三相绕组C相断线的情形。设A相电流的初相位角为
A、B相绕组产生的磁动势基波为:
合成磁动势基波:
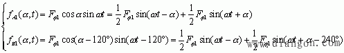
和式相比,上式和所表示的磁动势实为一脉振磁动势,其幅值的位置在 若三相绕组连接,设△内部C相断线,A、B相电流可以表示为:
A、B相绕组产生的磁动势基波为:
合成磁动势基波:
上式表明,合成磁动势基波相当于两个旋转方向相反、转速相等的磁动势的叠加:正向旋转磁动势和反向旋转磁动势,而且它们的幅值大小不相等。 事实上,单相绕组产生的脉振磁动势可以表示为:
即脉振磁动势可以分解为两个旋转方向相反、转速相等且幅值相等的旋转磁动势,或者说,两个旋转方向相反、转速相等且幅值相等的旋转磁动势的合成为一脉振磁动势。但现在两个磁动势幅值大小不等,合成磁动势又是什么性质的磁动势? 为便于说明问题,用空间矢量表示正向、反向旋转磁动势及合成磁动势(如图2所示)。取两矢量同相时的方向作为x轴正方向,并以这一瞬间作为时间的起点(
将上式改写后可得x,y的关系:
其中 这是一个椭圆方程,表明合成磁动势矢量
图2 转向相反的两旋转磁动势的合成
图3 椭圆形旋转磁动势 从图2可知合成磁动势的幅值为
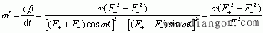
式(10)表明合成磁动势的幅值是随时间变化的。设合成旋转磁动势F与x轴的夹角为
矢量
这表明,角速度不是常数,在椭圆的长轴附近(即F最大处)角速度低些,而在短轴附近(即F最小处)角速度大些。合成磁动势的旋转方向则视正向旋转磁动势和反向旋转磁动势哪一个强而定。 对三相交流电机而言,三相绕组是对称的(三相绕组在空间上互差 |

,则B相电流的初相位角为
,A、B相电流可以表示为:
(1)
(2)
(3)
处。事实上,A、B两相绕组电流相位刚好反相,视为所通电流没有时间相位差,不能产生旋转磁动势。进一步推广,产生旋转磁动势的条件是:绕组有空间相位差,所通的电流有时间相位差。
(4)
(5)
(6)
(7)
)。当经过任何一段时间
之后,正向旋转磁动势
和
沿相反方向旋转时,合成磁动势
的大小和位置也随之变化。设
(8)
(9)
,
。
时,
,即磁动势幅值位置始终处在x轴上,合成磁动势为一脉振磁动势;当
(或
)时,
,即磁动势幅值轨迹为圆形,合成磁动势为圆形旋转磁动势。

(10)
,则有
(11)
(12)
电角度,三相阻抗相等)。但负荷中存在单相负载(如电炉、电焊机等),电网三相电压可能存在一定程度的不对称。因此,交流电机三相电流往往有一定程度的不对称。当三相电流不对称时,可以利用对称分量法,将一组不对称的三相电流
、
、
和
分解成正序分量
、
、
,负序分量
、
、
和零序分量
、
、
等三组对称分量。三相零序电流产生的三个脉振其波磁动势在时间上同相位,其合成磁动势为零。而三相正序电流产生正向的基波旋转磁动势,其幅值







