图1(a)所示电路是以一个RC充放电回路示意图。假设电容器两端的初始电压为零,开关K与1端接通的瞬间,电源通过电阻R对电容器充电,此时电容器的充电电流为最大E/R,若持续以这个电流充电,则VC的上升曲线是一条线性的直线,如图1(b)中的虚线所示。

图1 RC充放电回路
但是因在整个充电过程中充电电流为 ,故随着VC的上升,充电电流强度IC逐渐减小,则VC上升的幅度也逐渐变小,直到上升至电源电压E,同时充电电流为0。这样使实际的VC上升曲线如图1(b)所示。VC是按指数规律上升的,它随时间t变化的表达式为:

其中, 为时间常数。
可以看出串联电阻R越大,充电电流就越小,则充电时间就越长;电容量C越大,所需要的电荷就越多(即储能越多),充电时间也就越长。
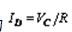
当电容充满电后,VC等于E。此时开关K与2端接通,则电容器通过R放电,放电电流为 ,VC逐渐降低。在接通2端的瞬间,放电电流为最大 ,但随着VC的降低,放电电流也逐渐降低,直至VC为0V,放电电流也为0。这样以来,电容放电时VC的下降曲线如图(c)所示。VC也是按指数规律下降的,它随时间t变化的表达式为:

|