多级放大电路的分析方法
时间:2023-03-14来源:佚名
|
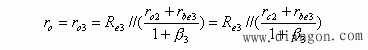
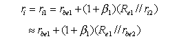
分析多级放大电路的基本方法是:化多级电路为单级,然后再逐级求解。化解多级电路时要注意,后一级电路的输入电阻作为前一级电路的负载电阻;或者,将前一级输出电阻作为后一级电路的信号源内阻。 一、电压放大倍数 ![]() 式中Au1、Au2…Aun :多级放大电路各级的电压放大倍数。 Au(dB)= Au1(dB) Au2(dB) … Aun(dB) GS0228 二、输入电阻和偷出电阻 多级放大电路的输入电阻就是第一级放大电路的输入电阻,其输出电阻就是最后一级放大电路的输出电阻。有时第一级的输入电阻也可能与第二级电路有关,最后一级的输出电阻也可能与前一级电路有关,这就取决于具体电路结构。 例题 三级放大电路如图Z0225所示。计算该电路的Au 、ri 、ro 。 ![]() 解:(1)电压放大倍数 按前述分析方法将三级放大电路划分为3个单级放大电路,如图Z0226所示。 由上图可见,第一级电路和第三级电路为共集电极放大电路,其电压放大倍数为:Au1=Au3≈1,第二级电路为共射极放大电路,它的电压放大倍数为 Au2 = - β(RC2∥ri3)/rbe2 总电压放大倍数为: Au=Au1·Au2·Au3≈ (2)输入电阻 第一级电路为射极输出器,它的输入电阻为: 故: (3)输出电阻 第三级电路为射极输出放大电路则: ![]() 由上例可以看出,分析多级放大电路的关键在于正确地划分出各单级放大电路。 |


故:






