三角形连接负载的电路分析
时间:2023-03-14来源:佚名
|
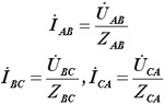
图1 负载的三角形连接 负载的相电压=线电压,即
1、负载对称
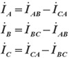
图2 三角形对称负载相量图 三个相电流对称,三个线电流也对称,且滞后于相应相电流30°,即
3、拓展
(a) (b) 图3 三相对称负载连接 |
|
图1 负载的三角形连接 负载的相电压=线电压,即
1、负载对称
图2 三角形对称负载相量图 三个相电流对称,三个线电流也对称,且滞后于相应相电流30°,即
3、拓展
(a) (b) 图3 三相对称负载连接 |







