音频的测量方法
|
1、示波法测量频率
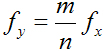
(1)测周期确定频率 可用测周期的方法,先测得信号的周期,再由信号的频率与周期是倒数关系,求倒数得到信号的频率。这种测量方法虽然精度不太高,但很方便,常用作频率的粗略测量。 (2)Lissajous图形法 1)被测频率fy的电压加到Y轴通道上,而把标准频率fx的电压加到X轴通道上,荧光屏上显示的图形称为Lissajous图形。 2)Lissajous图形的形状与输入的两个正弦信号的频率和相位差有关,因此可以通过对图形的分析来确定信号的频率及相位差(Lissajous图形法测相位差)。 Lissajous图形,如图1所示:
图1 Lissajous图形 确定m、n的数值:
Lissajous图形应与X轴有2m个交点,与Y轴有2n个交点,所以只要从显示的Lissajous图形上数出这些交点,就可确定m、n的数值。 在Lissajous图形上分别作两条不通过图形本身的交点,也不与图形相切的水平线和垂直线,数出图形与水平线的交点即为2m,与垂直线的交点为2n。 Lissajous图形法一般适用于被测频率和标准频率十分稳定的低频信号(音频到几兆赫范围),而且一般要求两频率比最大不超过10倍,否则图形过于复杂而难以测准。 如果fy与fx不成比例关系,则荧光屏上显示的图形是不稳定的或旋转变化的,这时还应该继续调节标准频率信号源,直到图形稳定。只有当fy:fx=m:n(m,n为整数)时,荧光屏上才能显示稳定的图形。由于标准信号源的频率是已知的,只要能确定比值m:n,就可算出被测信号频率。
不同频率比和不同相位差的Lissajous图形,如图2所示:
图2 不同频率比和不同相位差的Lissajous图形 2、计数法测量频率
图3 计数法测量频率
图4 ±1误差示义图 2)量化误差
当主门控制信号Ts的误差不能忽略,总误差可采用分项误差绝对值合成得到
式中:Δfs/fs——标准频率误差,是晶振频率的准确度 3、拍频法
图5 拍频法测量音频的方框图 (3)数学推导
4、电桥法 1)谐振电桥
图6 谐振电桥电路 2)电容电桥
图7 电容电桥电路 C 、数学推导
3)双T电桥
双T电桥电路,如图8所示:
图8双T电桥电路 |





















