放大电路负载最大的情况究竟是Ro→∞还是RL=0?为什么经常说RL愈小,电路负载

时间:2023-03-14来源:佚名

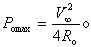
  电路负载的大小是指负载上输出功率的大小。在中频时,放大电路可以等效画成交流空载输出电压与输出电阻的串联,如图所示,放大电路负载最大的情况究竟是Ro→∞还是RL=0?为什么经常说RL愈小,电路负载愈大?其中V是电路的空载输出电压,RO是内阻,RL是负载电阻。不难求出,负载上的输出功率为放大电路负载最大的情况究竟是Ro→∞还是RL=0?为什么经常说RL愈小,电路负载愈大?利用上式可求出Po为最大值Pomax时,负载电阻RLo=Ro,而放大电路负载最大的情况究竟是Ro→∞还是RL=0?为什么经常说RL愈小,电路负载愈大?这就是说,从RL=0RL=PLO,电路的输出功率P0RL的增大而增大:从RL=PLORLP0则随RL的增大而减小,如图(b)所示。放大电路一般工作在RL>RLO=RO的情况,所以说负载电阻RL愈小,Po也就是电路负载愈大。如果RL(空载)或RL=0(短路),则均有Po=0,是负载最小的情况。

    相关阅读

    热销商品

    加厚abs安全帽电工建筑工地程施工领导监理透气防砸头盔可印字V型

    这款加厚ABS安全帽专为电工、建筑工地施工人员、领导及监理设计,采用高强度ABS工程塑料,抗冲击、防砸性能优异,有效保障头部安全。帽体加厚设计,增强耐用性与防护等级...
    5.8

    水口钳高硬度模型剪钳电子钳工业级口水剪斜嘴钳偏口斜口专用钳子

    水口钳高硬度模型剪钳是一款工业级精密工具,专为电子、模型制作及精细作业设计。采用优质高碳钢材质,经热处理工艺打造,具备卓越的硬度和耐磨性,可轻松剪切金属引脚、...
    4.8

    170电子剪钳II 如意斜口钳 工业斜嘴钳水口钳 模型剪塑胶钳尖嘴钳

    170电子剪钳II如意斜口钳是一款专业级精密工具,集工业斜嘴钳、水口钳、模型剪、塑胶钳与尖嘴钳功能于一体,适用于电子维修、模型制作、手工艺及精密作业。其采用优...
    4.5

    安全帽国标工地加厚施工领导透气安全头盔建筑工程监理免费印字

    本款安全帽严格遵循国家GB 2811-2019标准,专为建筑工程、工地施工及监理人员设计。采用高强度ABS工程塑料,加厚壳体有效抗冲击,保障头部安全。帽体轻盈透气,内置可调...
    10

    包邮三角型简易螺丝刀三角十字螺丝刀螺丝批改锥起子五金工具5mm

    这款5mm三角型简易螺丝刀,专为拧紧或拆卸三角形螺丝设计,适用于电子维修、家电维护及精密仪器装配等场景。采用优质合金钢材质,刀头硬度高、耐磨损,确保长久使用不变...
    3.64

    网站栏目