机电一体化的传动机构设计
时间:2023-03-14来源:佚名
|
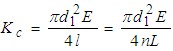
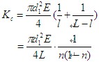
机电一体化系统中的机械设计要遵循机电结合、机电互补的原则,满足高精度、快速响应速度和稳定性的要求。具体包括两大部分的内容:一是机械传动装置的设计,一是机械结构的设计。 机电一体化对机械系统的基本要求: (1)、转动惯量(J)小 (2)、刚度(K)大 (3)、阻尼(B)合适 机械系统的组成:传动机构、导向机构、执行机构。 传动装置功能:传递运动(速度、位移)和动力(力、力矩) 滚珠丝杠:丝杠和螺母的螺纹滚道间置滚珠,当丝杠或螺母转动时,滚珠沿螺纹滚道滚动,使丝杠和螺母作相对运动时为滚动摩擦。 在螺母(或丝杠)上有滚珠返回的通道,与螺纹滚道形成循环回路,使滚珠在螺母滚道内循环。 滚珠丝杠按滚珠的循环方式不同分为内循环类型和外循环类型 滚珠丝杠的特点: ![]() 1、传动效率高 2、运动具有可逆性 3、传动精度高 4、磨损小,使用寿命长 5、制造工艺复杂,成本高 6、不能自锁 调整滚珠丝杠轴向间隙的结构形式:垫片调隙式、螺纹调隙式、齿差调隙式、 变位螺距调隙式 滚珠丝杠的主要尺寸:公称直径(滚珠中心圆直径)、导程(或螺距)、螺旋升角、滚珠直径、螺纹滚道半径、丝杠外径、丝杠内径、螺母外径、螺母内径等。 滚珠丝杠的公差等级:根据JB316.2-91《滚珠丝杠副精度》标准规定分为5个等级:1、2、3、4、5级(有的参考书称7个等级,另外有7、10级),1级最高,5级最低。一般动力传动选4、5级,数控机床、精密机械或仪器选1、2、3级。 为保证滚珠丝杠副传动的刚度和精度,应选择合适的支承方式,选用轴承组合,一般常用推力轴承和向心球轴承。 四种典型的支承方式: (1)、单推—单推 (2)、双推—双推 (3)、双推—简支 (4)、双推—自由 滚珠丝杠设计计算: (1)、求出计算载荷 ![]() =K Fm K为工况系数 Fm平均工作载荷(N)(2)、根据寿命计算出额定动载荷 ![]() ![]() (3)、查滚珠丝杠副系列中的额定动载荷 ,使 ,初选几个规格(或型号),列出其主要参数(4)、验算传动效率、刚度、稳定性等 滚珠丝杠副传动刚度由三部分组成:滚珠丝杠的拉压刚度 、滚珠丝杠与螺母接触刚度 、滚珠丝杠轴承与轴承座的支承刚度![]() (1)拉压刚度 ![]() a、一端固定,一端自由 ![]() b、两端固定 ![]() (2)接触刚度KN ![]() (3)支承刚度包括轴承轴向刚度 、轴承支座刚度 、螺母支座刚度 这三部分刚度,一般难以精确计算,根据结构而定。滚珠丝杠副传动的力学模型可以简化为如下所示的弹簧质量系统: ![]() 传动系统的传动刚度为: ![]() 齿轮传动作用:用来传递转矩和转速。 齿轮传动优点: 1、瞬时传动比恒定,传动精确度高; 2、强度大能承受重载,结构较紧凑; 3、满足主轴进给速度要求,增大主轴转矩。 齿轮传动缺点: 1、齿侧间隙对传动精度影响; 2、齿轮的磨损引起反转误差的逐渐扩大。 齿轮传动的类型: 1、直齿圆柱齿轮传动 a 偏心轴套调整法 b 轴向垫片调整法 c 双片薄齿轮错齿调整法 2、斜齿轮传动 3、齿轮齿条传动 4、锥齿轮传动 (a) 轴向压簧调整法 (b) 周向弹簧调整法 齿轮传动传动链的级数和级比的选择总原则:尽量采用较大传动比的单级传动。 多级传动时,遵循如下的原则: 1、最小等效转动惯量原则 2、输出轴转角误差最小原则 3、重量最轻原则 谐波齿轮传动原理是利用行星轮系传动原理,波发生器转动,迫使柔性齿轮产生可控制的变形波(近似谐波),并和刚轮作用引起齿间相对位移,传递运动和动力。 谐波齿轮由三个基本构件组成:波发生器、柔轮、刚轮,其实质是一种新型减速器。 谐波齿轮传动优点: 1、传动比大:1.002~1.02或50~500; 2、承载能力高; 3、传动平稳,精度高; 4、体积小,噪声低 谐波齿轮传动缺点: 1、柔轮周期性变形,易疲劳破坏; 2、转动惯量和启动力矩大,不适宜于小功率传动; 3、不能用于传动比较小场合( 小于35);4、散热差 谐波齿轮广泛应用于机电一体化产品中,如机器人、机器仪表、雷达中用作运动传递;在冶金、化工、起重运输设备中传递运动和转矩。 同步齿形带传动的特点: 1、传动比比准确,传动效率高; 2、工作平稳,能吸收振动; 3、传动比范围大; 4、中心距严格,成本高; 5、不需润滑,耐油、耐高温,维护方便。 同步齿形带由强力层和基体(带齿、带背)组成,强力层的材料为钢丝、玻璃纤维、芳纶,基体材料为聚氨脂橡胶、氯丁橡胶。 同步齿形带的主要参数和规格: 带齿的节距t(或 ):相邻两个齿中心间沿节线距离,t=πm 节线( ):强力层的中心线。节线长度为齿形带的公称长度。根据节距不同分为七种规格: ![]() 同步带的标记包括长度代号、型号、宽度代号等。 同步带的按用途分为 (a)一般工业用同步带传动 即梯形齿同步带传动。它主要用于中、小功率的同步带传动,如各种仪器、计算机、轻工机械中均采用这种同步带传动。 (b) 高转矩同步带传动 又称HTD带(High Torque Drive)或STPD带传动(Super Torque Positive Drive)。由于其齿形呈圆弧状,在我国通称为圆弧齿同步带传动。它主要用于重型机械的传动中,如运输机械(飞机、汽车)、石油机械和机床、发电机等的传动 (c) 特种规格的同步带传动 这是根据某种机器特殊需要而采用的特种规格同步带传动,如工业缝纫机用的、汽车发动机用的同步带传动 (d) 特殊用途的同步带传动 同步带的按规格制度分为 (a) 模数制 同步带主要参数是模数m(与齿轮相同),根据不同的模数数值来确定带的型号及结构参数。在60年代该种规格制度曾应用于日、意、苏等国,后随国际交流的需要,各国同步带规格制度逐渐统一到节距制。目前仅前苏联及东欧各国仍采用模数制。 (b) 节距制 即同步带的主要参数是带齿节距,按节距大小不同,相应带、轮有不同的结构尺寸。该种规格制度目前被列为国际标准。 由于节距制来源于英、美,其计量单位为英制或经换算的公制单位。 (c) DIN米制节距 DIN米制节距是德国同步带传动国家标准制定的规格制度。其主要参数为齿节距,但标准节距数值不同于ISO节距制,计量单位为公制。在我国,由于德国进口设备较多,故DIN米制节距同步带在我国也有应用。 同步带轮的材料:铸铁或钢(一般情况) 塑料或铝合金(高速小功率) 同步带轮的参数及尺寸规格 (1)齿形:与梯形齿同步带匹配,齿形有直线形和渐开线形两种。 (2)齿数:齿数少则结构紧凑,但齿数太少易产生弯曲和疲劳破坏,按国标GB11361-89规定,小带轮应有许用最小齿数(参阅有关标准)。 同步带轮的标记由带轮齿数、带的型号、轮宽代号表示。例:30 L 075。 同步带传动的设计准则是根据齿形带的强度准则进行,限制齿形带单位宽度的拉力,防止强力层的疲劳破坏、断裂以及节距改变而爬齿等。 同步带传动主要失效形式: (a) 承载绳断裂 原因是带型号过小和小带轮直径过小等。 (b) 爬齿和跳齿 原因是同步带传递的圆周力过大、带与带轮间的节距差值过大、带的初拉力过小等。 (c) 带齿的磨损 原因是带齿与轮齿的啮合干涉、带的张紧力过大等。 (d) 其他失效方式 带和带轮的制造安装误差引起的带轮棱边磨损、带与带轮的节距差值太大和啮合齿数过少引起的带齿剪切破坏、同步带背的龟裂、承载绳抽出和包布层脱落等。 根据强度准则计算齿形带宽度的公式为: ![]() 已知条件及设计内容 初始数据: 功率P、转速n、传动比 、空间位置尺寸及工作条件等。计算内容为:(1)确定计算功率 : (2)确定模数m:根据 、n查表选取m,尽可能选用小模数(因为齿形带柔性好、 啮合齿多、工作平稳)。(3)确定小带轮齿数Z1、大带轮齿数Z2及节圆直径D1、D2 根据小带轮转速n1及所选模数,查有关标准(带轮最少许用齿数表),选取小带轮的齿数Z1,使 ,则![]() (4)校核带的速度v ![]() 为带的最大允许带速(m/s), 可根据模数m查表确定(5)确定中心距a、带长 和带齿数Z(6)根据设计准则确定齿形带宽度b (7)确定作用在轮轴上的力Fs ![]() (8)确定带轮的结构尺寸(结构、参数、材料、尺寸等) |




,使
,初选几个规格(或型号),列出其主要参数
、滚珠丝杠与螺母接触刚度
、滚珠丝杠轴承与轴承座的支承刚度



、螺母支座刚度
这三部分刚度,一般难以精确计算,根据结构而定。

小于35);
):相邻两个齿中心间沿节线距离,t=πm
):强力层的中心线。节线长度为齿形带的公称长度。

:
,则

为带的最大允许带速(m/s), 可根据模数m查表确定







