直流电机的电枢反应及负载时的磁场
|
1、电枢反应: 电机负载时,电枢绕组中有电流流过,产生一磁动势,称为电枢磁动势。此时,气隙磁场有主极磁势和电枢磁势二者合成磁势建立,电枢磁势的出现必然对空载时的主极磁场有影响,使气隙磁密的分布发生变化,这种电枢磁势对主极所建立气隙磁场的影响称为电枢反应。 2、电枢磁场的分布: 同极性下电流方向相同,异极性下电流方向相反。电刷是电枢表面电流分布的分界线。特点:电枢磁场与主极磁场分布是相对静止的。 3、电枢磁动势沿电枢表面分布: a、以一个元件为例:线圈匝数 每极下有一个元件边的磁动势波形 4、电枢磁场的磁密沿电枢表面分布:(推导B与F的关系) 设电枢绕组的总匝数为N,元件数为S,极对数为p,极距为 5、 直流电机负载时磁场的电枢反应
6、直流电机负载时磁场特点(呈去磁作用): a、磁场发生了畸变。 |
对电动机:影响转速。
,电流
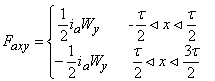
安。元件边产生磁动势

,电枢直径为
,每元件匝数为Wy,则N=2SWy,阶梯数为S/2p ,阶梯波幅值为:
,
为电枢表面单位周长上的安匝数,称为线负荷。若忽略铁磁材料中的磁压降,则电枢磁场沿电枢表面的分布曲线为:
与
成正比,
成反比。即:极靴下,气隙







