运放的基本连接方式
时间:2023-03-14来源:佚名
|
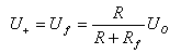
如同三极管放大电路有三种基本组态一样,各种复杂的运放应用电路也可划分为几种最基本的组态(或称连接方式),掌握了这几种组态的分析方法及其主要特性,就可分析更为复杂的电路。 一、反相输入组态 电路连接方式如图Z0609所示。输入信号通过R1加到运放的反相输入端,输出信号通过负反馈电阻Rf也加到反相输入端, 从而在反相输入端实现电流相加(I1 = Ii If ),即引入电压并联负反馈,这种类型的应用电路称为反相输入组态。图中Rp为输入平衡电阻,Rp 应选为R1∥Rf 。根据工作在线性区运放的基本特性可得:U = U- = 0,I1 = If 而 ![]() 故有: ![]() 电压放大倍数: ![]() 由GS0606式可知,这种组态电路的输出电压与输入电压反相且成比例(有时称为反相比例器), 其基本功能是实现比例运算。当Rf = R1时,UO = - UI 实现了反相功能(称为反相器或反号器)。二、同相输入组态 电路如图Z0610所示,输入信号加到同相输入端,反馈信号通过Rf 、 R加到反相输入端(引入负反馈),从而在输入端实现电压相加(U = Uid U-),即引人电压串联负反馈,这类电路称为同相输入组态。 根据U = U-及Ii=0,对图示电路可得: 从而可得: ![]() 电压放大倍数为: ![]() 由GS0608 式可知,输出电压与输入电压同相且成比例,实现了同相比例运算。 当Rf = 0,R = ∞时,Auf =1,这种电路称为电压跟随器,它具有电压放大倍数等于1,输入阻抗高、输出阻抗低的特点,广泛用作隔离或缓冲电路。 三、差动输入组态 基本差动输入组态电路如图Z0611所示。相位相关的两个信号Ui1、Ui2分别通过R1、R2加到反相端和同相端。 输出信号通过与R3匹配的电阻Rf反馈到反相输入端,从而构成闭环负反馈电路。这种组态对差模特性,虽然可以等效为同相组态与反相组态的迭加,但它的共模特性具有反相组态与同相组态不可包含的特殊性。因此,把它看作是运放应用的基本组态之一。它可以由一块运放组成,也可由两块以上的运放组成。为了保证输入端平衡工作和提高共模抑制比,选取电路参数R1= R2 ,R3=Rf 。根据Ii=0,利用叠加原理可得: ![]() 再由U = U-,根据上两式可得: ![]() 整理可得: ![]() 可见输出电压与输入电压之差成比例,实现了差动比例运算。 ![]() 四、开环比较组态 运放应用,除上述工作在线性区的3种组态外,还有一个非线性应用的基本组态。这种组态的电路如图Z0612 所示。通常一个输入端接基准电压,另一个输入端的输入信号与基准电压相比较,根据比较结 果,输出电压产生跃变。DZ1、DZ2是稳压管,它们的作用是限制输出电压的幅度,从而使 Ui > ER时,UO = - UZ Ui ≤ ER时,UO = UZ 式中UZ 为稳压管的工作电压。 |
从而在反相输入端实现电流相加(I1 = Ii If ),即引入电压并联负反馈,这种类型的应用电路称为反相输入组态。图中Rp为输入平衡电阻,Rp 应选为R1∥Rf 。


其基本功能是实现比例运算。当Rf = R1时,UO = - UI 实现了反相功能(称为反相器或反号器)。


输出信号通过与R3匹配的电阻Rf反馈到反相输入端,从而构成闭环负反馈电路。这种组态对差模特性,虽然可以等效为同相组态与反相组态的迭加,但它的共模特性具有反相组态与同相组态不可包含的特殊性。因此,把它看作是运放应用的基本组态之一。它可以由一块运放组成,也可由两块以上的运放组成。为了保证输入端平衡工作和提高共模抑制比,选取电路参数R1= R2 ,R3=Rf 。












