电磁转矩的计算
时间:2023-03-14来源:佚名
|
由于电枢表面各处的磁密不同,因而各处元件所受的电磁力大小也不同。
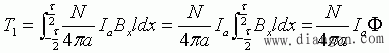
1、某一点处元件的 设气隙某处的径向磁密为 2、dx段内元件的 若元件数为S,则dx段内共有元件边数为 3、一个极距内元件的 4、2p极电机总的电磁转矩 由于绕组对称,每极下的磁密变化规律相同,则2p极电机的总电磁转矩为: |
|
由于电枢表面各处的磁密不同,因而各处元件所受的电磁力大小也不同。
1、某一点处元件的 设气隙某处的径向磁密为 2、dx段内元件的 若元件数为S,则dx段内共有元件边数为 3、一个极距内元件的 4、2p极电机总的电磁转矩 由于绕组对称,每极下的磁密变化规律相同,则2p极电机的总电磁转矩为: |





