
图1 三相四线制电路
相电流——Ip 线电流——Il Ip=Il
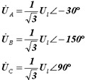
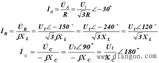
各相电流为: 。
各相负载的电压与电流的相位差为: 。
中线电流: 。
1、对称三相电路 所谓负载对称,是指三相阻抗完全相同,即:各相阻抗的模相同,阻抗角相等。

图2 对称负载相量图

此时中线不起作用,可以去掉。

图3 三相三线制电路
对于三相对称电路,只要分析计算其中一相的电压、电流即可,其它两相的电压、电流根据其对称性直接写出。计算每相负载中电流的方法与单相电路一样。

【例】有一三相电源, ,三相对称负载,星形连接,每相负载为 ,求:每相负载中的电流及各线电流相量及中线电流。 解: ∵ , ∴设

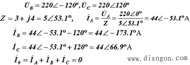
2、不对称三相电路 (1) 有中线的情况 此时,负载的相电压仍保持对称,但各相电流不再对称,中线电流也不再为零;要逐一进行各相的分析和计算。 【例】已知:三相负载 R、L、C 以及三相线电压: 。求:各相、各线及中线电流。

解:


此时,各相电流不再对称,故中线电流也不再为零,中线起了作用,既不能取消,也不能断开。正是因为有了中线,才使负载的相电压总能保持对称,各相负载能得以正常工作。
(2) 无中线的情况 【例】已知: ,每盏灯的额定值为:220V、100W,求:各相负载电流及电压。

(a) (b)
解:灯泡的内阻 ,对图 (b) ,采用节点电压法。

代入R值得:

A相负载的电压: 。 B相负载的电压: 。 C相负载的电压: 。 可见,此时负载端相电压不再对称,并且三相中有的相电压高,有的相电压低,这会使负载不能正常工作,甚至造成负载的损坏。所以在三相四线制供电的不对称电路中,为了保证负载的相电压对称,中线上不允许接熔断器和开关,以免断开造成负载电压不对称。 |