交流电阻和直流电阻区别何在?线性电阻元件有没有这两种电阻?
时间:2023-03-14来源:佚名
|
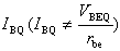
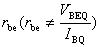
对线性电阻元件,只要工作频率不太高,它的电阻是个常数。也就是说,它在直流工作和交流工作时电阻相同,没有直流(静态)电阻与交流(动态)电阻之分。非线性电阻元件则不然。它的伏安特性I=f(V )不是直线,是曲线。即使是在直流工作时,只要电压和电流不同,或者说静态工作点不同,它的直流(静态)电阻R= |
|
对线性电阻元件,只要工作频率不太高,它的电阻是个常数。也就是说,它在直流工作和交流工作时电阻相同,没有直流(静态)电阻与交流(动态)电阻之分。非线性电阻元件则不然。它的伏安特性I=f(V )不是直线,是曲线。即使是在直流工作时,只要电压和电流不同,或者说静态工作点不同,它的直流(静态)电阻R= |







