单相设备计算负荷的确定
时间:2023-03-14来源:佚名
|
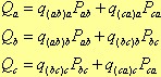
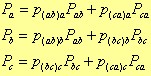
企业也有单相负荷,如电焊机、电热器、电炉、电灯等。 有三种情况 单相设备接相电压 ![]() 单相设备接线电压 只有一台单相设备 ![]() 三相都有单相设备当 ![]() 当 时![]() 当 时![]() 单相设备有接相电压,有接线电压 步骤: (1) 线—相折算。 (2)各相相加。 (3)最大相乘以3。 线—相折算方法 有功功率 ![]() 无功功率 ![]() |
|
企业也有单相负荷,如电焊机、电热器、电炉、电灯等。 有三种情况 单相设备接相电压 ![]() 单相设备接线电压 只有一台单相设备 ![]() 三相都有单相设备当 ![]() 当 时![]() 当 时![]() 单相设备有接相电压,有接线电压 步骤: (1) 线—相折算。 (2)各相相加。 (3)最大相乘以3。 线—相折算方法 有功功率 ![]() 无功功率 ![]() |






