开关电容滤波器(SCF-Switched Capacitor Filters)
时间:2023-03-14来源:佚名
|
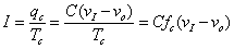
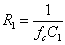
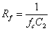
这种滤波器是由开关电容网络构成的滤波器,是一种模拟滤波器的新器件。 ⑴ 开关电容滤波器的基本电路 开关电容网络的基本结构与原理:电路两个节点间接有带高速开关的电容器,在开关的作用下,其效果相当于两个节点间连接的电阻。基本电路有下面两种: ![]() 对并联型电路,当开关接向1时, 这电流与下图中的电流相等,因此,以很高的频率在 对串联型开关电容电路,当S接向1时,C被短路;当S接向2时,电容充电存贮电荷 ![]() ⑵ 开关电容网络组成反相积分器 用串联型开关电容网络组成的反相积分器电路如图所示: ![]() 该电路的积分时间常数为: 由于时间常数决定于两电容比值,及开关频率,而电容值又可以精确控制,因此,时间常数可以精确控制。 2. 一阶低通开关电容滤波器(LPSCF) 用并联型开关电容网络组成的一阶低通开关电容滤波器如图所示: ![]() 电路的频率特性表达式为: 其中通带截止频率为: 而 所以 最后可得: 从上面分析可知,它的通带增益和通带截止频率都与两只电容的比值有关。由于集成制造工艺水平的进步,增益和截止频率都能做得十分的精确和稳定。只要改变开关频率,就能方便地改变滤波频率。所以应用非常广泛。 |

向C充电,充电电荷为
;当开关接向2时,C向
放电; 此时C上的电荷变化为
,假定开关的频率很高,且
,所以可以认为电容C的充放电是连续的,其电流也为连续 ,此时的平均电流为:
。
,所以,开关S在一周内,其平均电流及电路的作用效果与并联型电路完全相同,同样可以等效成一只电阻。在实际的电路中,开关由MOS管承担。所以,其基本的开关电容网络电路为:





,

,电路的通带增益为:






