电阻的并联与分流

时间:2023-03-14来源:佚名
电阻的并联与分流
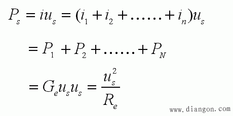
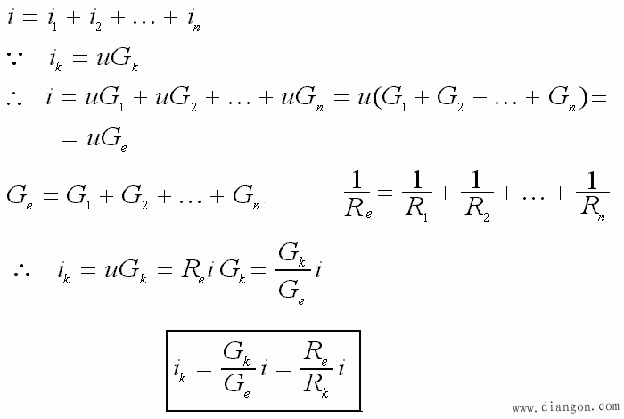
    应用KCL,并用 Gk 代替 1 / Rk ,则有:

电阻的并联与分流
    结论:

      ①并联电路中总电导等于各分电导之和。

      ②每个电阻上的电流按其电导占总电导的比例大小分配总电流。

    并联电阻电路的功率计算:
电阻的并联与分流

相关阅读

如何理解电容电感产生的相位差

对于正弦信号,流过一个元器件的电流和其两端的电压,它们的相位不一定是相同的。那么这种相位差是如何产生的呢?理解这一知识非常重要,因为不仅在放大器、自激振荡器等反馈...
2023-08-09
如何理解电容电感产生的相位差

基于NPN和PNP三极管的蜂鸣器驱动电路图 三极管做开关的导通和关断条件

NPN和PNP 是三极管的两种类型,一般的作用是放大和做开关使用,下面从常见的驱动蜂鸣器的电路来进行分析。 电路连接中,NPN三极管的B基极一般是控制脚,C集电极接VCC,E发射极接G...
2023-08-11
基于NPN和PNP三极管的蜂鸣器驱动电路图 三极管做开关的导通和关断条件

15个电气实用的计算方法,值得收藏!!!

以下是15个电气实用的计算方法: 1. 变压器高压侧电流估算:对于10kV侧,额定电流约为容量的6%(精确时为5.8%);对于6kV侧,额定电流约为容量的10%(精确时为9.6%)。 2. 变压器短路电流估...
2024-08-29
15个电气实用的计算方法,值得收藏!!!

继电器的主要技术参数

继电器 参数术语1、额定工作电压 是指继电器正常工作时线圈所需要的电压。根据继电器的型号不同,可以是交流电压,也可以是直流电压。 继电器 参数术语2、直流电阻 是指继电器中...
2023-03-21

缩短PLC程序扫描周期的方法

提高plc 运行效率,缩短完成相同任务时的执行时间。 提醒: 初学者不必在意本文归纳的做法,以程序易读、规范为目标,完成功能要求即可。 1、可以用“字”的时候尽量避免用“双...
2023-03-21

热销商品

加厚abs安全帽电工建筑工地程施工领导监理透气防砸头盔可印字V型

这款加厚ABS安全帽专为电工、建筑工地施工人员、领导及监理设计,采用高强度ABS工程塑料,抗冲击、防砸性能优异,有效保障头部安全。帽体加厚设计,增强耐用性与防护等级...
5.8

欧普led筒灯3w孔灯超薄桶灯吊顶天花灯过道嵌入式洞灯客厅5w

欧普LED筒灯是一款高品质嵌入式照明产品,适用于客厅、过道、吊顶等多种场景。采用优质LED光源,提供3W和5W两种功率选择,光线柔和均匀,显色指数高,有效还原真实色彩。超...
7.45

水口钳高硬度模型剪钳电子钳工业级口水剪斜嘴钳偏口斜口专用钳子

水口钳高硬度模型剪钳是一款工业级精密工具,专为电子、模型制作及精细作业设计。采用优质高碳钢材质,经热处理工艺打造,具备卓越的硬度和耐磨性,可轻松剪切金属引脚、...
4.8

170电子剪钳II 如意斜口钳 工业斜嘴钳水口钳 模型剪塑胶钳尖嘴钳

170电子剪钳II如意斜口钳是一款专业级精密工具,集工业斜嘴钳、水口钳、模型剪、塑胶钳与尖嘴钳功能于一体,适用于电子维修、模型制作、手工艺及精密作业。其采用优...
4.5

安全帽国标工地加厚施工领导透气安全头盔建筑工程监理免费印字

本款安全帽严格遵循国家GB 2811-2019标准,专为建筑工程、工地施工及监理人员设计。采用高强度ABS工程塑料,加厚壳体有效抗冲击,保障头部安全。帽体轻盈透气,内置可调...
10

网站栏目