他励直流电动机的制动

时间:2023-03-14来源:佚名

 电机有两种运转状态:电动运转他励直流电动机的制动他励直流电动机的制动同向。制动运转他励直流电动机的制动他励直流电动机的制动反向。
 制动的目的使系统停车或限速。
 自由停车法,电气制动,机械制动。能耗制动;反接制动;回馈制动。
 分析每种制动过程产生的条件,机械特性,及特点等。

他励直流电动机的制动
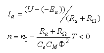
1、能耗制动:
  产生条件:电机顺时针方向旋转,他励直流电动机的制动与之同方向。电机在电动状态下运行.各物理量正方向如图所示:

他励直流电动机的制动
  电机在电动状态下运行,合上他励直流电动机的制动 ,断开他励直流电动机的制动,制动。他励直流电动机的制动不变,U=0.   
   他励直流电动机的制动
  制动瞬间:励磁不变,因惯性转速不变,他励直流电动机的制动不变,但电枢电流他励直流电动机的制动他励直流电动机的制动同方向,而改变了方向,使他励直流电动机的制动反向,电机处于制动状态。
他励直流电动机的制动
  若带位能性负载最后将稳定在C点,等速下放。他励直流电动机的制动越大,制动越快。

  他励直流电动机的制动
他励直流电动机的制动
2、反接制动:

1)、转速反向的反接制动:正接反转。
  产生条件:起重机起吊重物,电机的起动转矩小于重物的负载转矩,电机被负载拖动反向起动,使电机的转速逆电磁转矩的方向旋转,n 他励直流电动机的制动反向,电机处于制动状态。功率全消耗于他励直流电动机的制动 上。
  他励直流电动机的制动

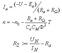
2)、电枢反接的反接制动:正转反接。
  产生条件:电机在电动状态下运行,突将电枢反接,即U为负,电枢电流改变方向,使他励直流电动机的制动改变方向,电机处于制动状态。在 C 应即时断开电源,否则电机将反转。
  他励直流电动机的制动他励直流电动机的制动

3、回馈制动:再生制动。
他励直流电动机的制动
1)、位能负载拖动电动机,电机运行在反向电动状态,某原因使电机的转速达到某一数值时,电机的他励直流电动机的制动,使电枢电流反向,即T 反向,电机进入发电机运行状态,而起制动作用。电机将轴上输入的机械功率大部分回馈给电网,小部分消耗在电阻上。
他励直流电动机的制动

2)、改变电枢电压:
  电机在正向电动状态运行,突降电枢电压,他励直流电动机的制动来不及变化,使他励直流电动机的制动,出现回馈制动,特性在第二象限。
他励直流电动机的制动
  同一电动机在相同电枢电阻时各种运行状态: 

他励直流电动机的制动

    相关阅读

    采购贴片电容需要注意什么?

    采购贴片电容时,除了注意尺寸、材质、精度、电压、厚度外,还需要注意什么? 首先耐压 问题是我们在选购过程中首先要考虑的问题。如果夹在电容两端的电压超过了电容的额定电...
    2023-04-30

    晶闸管的用途,简单介绍一下,科普涨知识

    晶闸管是硅晶体闸流管的简称。晶闸管是大功率变流器件,利用其整流可控特性可方便地对大功率电源进行控制和变换。它具有体积小,重量轻,耐压高,容量大,使用维护简单,控制灵敏等优...
    2023-06-13
    晶闸管的用途,简单介绍一下,科普涨知识

    谁能找到电机启动跳闸故障点?俩电工为了找到真正的故障原因,用尽全部绝技!

    在一个繁忙的工厂车间内,一台核心电机突发故障,启动即引发电路跳闸,整个生产线因此陷入停滞,严重影响了生产进度。面对这一紧急情况,工厂迅速召集了经验丰富的老电工前来排查故障...
    2024-09-22
    谁能找到电机启动跳闸故障点?俩电工为了找到真正的故障原因,用尽全部绝技!

    很干的干货:你的贴片电容怎么漏电了?

    很多用户在使用贴片电容的过程中出现过电容漏电的现象,下面为您分析可能导致漏电的几种常见的原因。 一、内在因素 1.制程中形成的空洞 陶瓷粉料内的有机或无机的污染,烧结过...
    2023-04-30
    很干的干货:你的贴片电容怎么漏电了?

    赶紧收了!电气工程管内穿线施工工艺详解

    把绝缘导线穿入管内敷设,称为管内穿线,这种配线方式比较安全可靠,一般用于各类建筑物中,本工法主要阐述电气工程线管穿线施工工艺。 管内穿线与配线具有以下优点 1、电线完...
    2023-06-11

    热销商品

    加厚abs安全帽电工建筑工地程施工领导监理透气防砸头盔可印字V型

    这款加厚ABS安全帽专为电工、建筑工地施工人员、领导及监理设计,采用高强度ABS工程塑料,抗冲击、防砸性能优异,有效保障头部安全。帽体加厚设计,增强耐用性与防护等级...
    5.8

    欧普led筒灯3w孔灯超薄桶灯吊顶天花灯过道嵌入式洞灯客厅5w

    欧普LED筒灯是一款高品质嵌入式照明产品,适用于客厅、过道、吊顶等多种场景。采用优质LED光源,提供3W和5W两种功率选择,光线柔和均匀,显色指数高,有效还原真实色彩。超...
    7.45

    水口钳高硬度模型剪钳电子钳工业级口水剪斜嘴钳偏口斜口专用钳子

    水口钳高硬度模型剪钳是一款工业级精密工具,专为电子、模型制作及精细作业设计。采用优质高碳钢材质,经热处理工艺打造,具备卓越的硬度和耐磨性,可轻松剪切金属引脚、...
    4.8

    170电子剪钳II 如意斜口钳 工业斜嘴钳水口钳 模型剪塑胶钳尖嘴钳

    170电子剪钳II如意斜口钳是一款专业级精密工具,集工业斜嘴钳、水口钳、模型剪、塑胶钳与尖嘴钳功能于一体,适用于电子维修、模型制作、手工艺及精密作业。其采用优...
    4.5

    安全帽国标工地加厚施工领导透气安全头盔建筑工程监理免费印字

    本款安全帽严格遵循国家GB 2811-2019标准,专为建筑工程、工地施工及监理人员设计。采用高强度ABS工程塑料,加厚壳体有效抗冲击,保障头部安全。帽体轻盈透气,内置可调...
    10

    网站栏目