回路电流法
时间:2023-03-14来源:佚名
1、回路电流法的原理一个联通图,支路数 b ,节点数 n ,树支数 ( n - 1 ) ,连支数 b - ( n - 1 ); 选定一个树,加上一个连支,就构成一个回路,指定回路电流为 i l1,也称为连支电流。对此回路应用 KVL ,得一 KVL 方程; 加上第二个连支,就构成第二个回路,指定回路电流为 i l2,对此回路应用 KVL ,又得一 KVL 方程; ………… 最后得到:(b - n 1) 个回路电流变量,和同样多的 KVL 方程; 连立求解得各回路/连支电流; 再叠加求出各支路电流。
2、举例
3、无伴电流源的处理
Σ u k = 0 但方程中并没有未知量 uk ,而是用回路电流 ilk 表示每一个支路的电压 u k 的。如果某条支路电压不能用回路电流表示出来,怎么办?例如只有一个电流源?
处理方法:
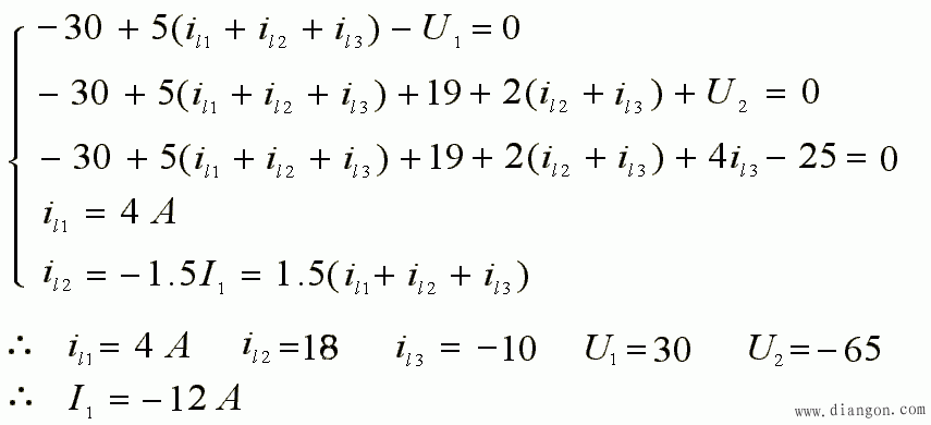
4、举例
|








