电功率与电能量
时间:2023-03-14来源:佚名
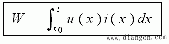
根据电位差的定义:UA- UB = UAB 为单位正电荷在电源的作用下,从A点到B点所做的功。 那么,单位时间里,从A点到B点的正电荷为 i,因此单位时间里,电源做的功也即功率为
P(t)=UAB(t) i(t)
![]() 这些功被负载所吸收(以能量形式储存起来)或消耗(转化为热而消耗掉)。
![]() 注意—
|
根据电位差的定义:UA- UB = UAB 为单位正电荷在电源的作用下,从A点到B点所做的功。 那么,单位时间里,从A点到B点的正电荷为 i,因此单位时间里,电源做的功也即功率为
P(t)=UAB(t) i(t)
![]() 这些功被负载所吸收(以能量形式储存起来)或消耗(转化为热而消耗掉)。
![]() 注意—
|







