一阶电路的零状态响应
时间:2023-03-14来源:佚名
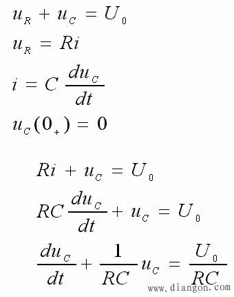
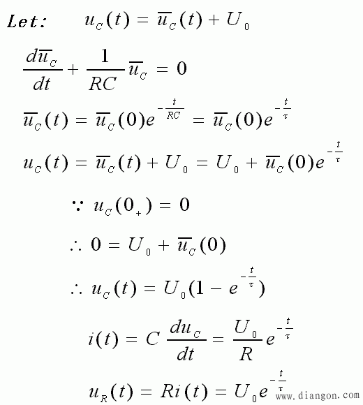
最简单最基本的输入形式是直流电压源和恒流源。 1、RC 电路的零状态响应
![]() 物理过程分析:
根据以前知识,uC ( 0 )=uC ( 0- )=u C ( 0 )=0 。这就是说,在 t=0 时刻,电容相当于短路,直流电压全部降落在 R上,那么电流 i (0 )=U 0 / R 。但是,电流一经流动,必然在电容极板上产生电荷堆积,q=Cu C > 0。然而,总电压 U0 不变,R 上压降必然减小,从而电流 i = uR/R 减小 …… 。最终,uC →U0,i →0,充电停止,电路达到另外一个稳态,此时,电容相当于开路。
![]()
![]()
![]()
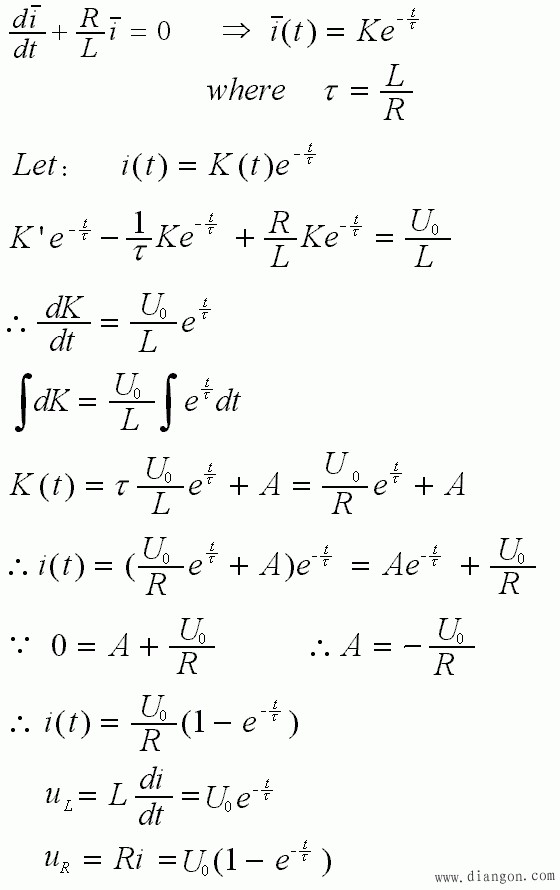
2、RL 电路的零状态响应
![]() 物理过程分析: 根据以前知识,在有限电压前提下,电流不能跃变,i ( 0 ) = i ( 0- )= i ( 0 ) = 0 。也即:
但是,电流一经流动,必然在 R 上产生压降,总电压 U0不变,故 L 上压降必然减小。 最终,电流趋于最大值 u 0 / R ,U 0 全部降在 R 上,U L → 0 ,此时,电感相当于短路。电路达到另外一个稳态。 数学求解 t > 0 的电路响应: ![]()
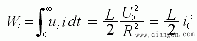
![]() ![]()
![]() |















