电阻的混联
时间:2023-03-14来源:佚名
![]()
反过来,当 i0 为 0 时,R0 两端的电位相等,故必有:
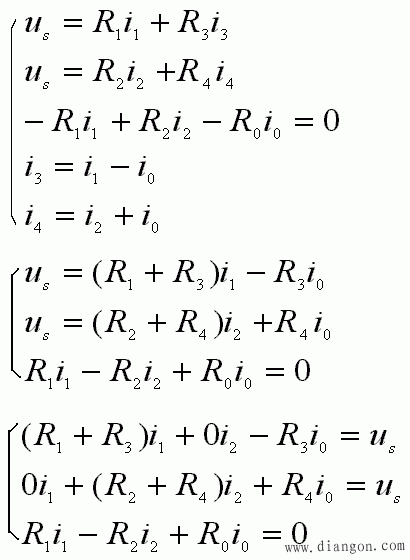
i 2 = i 4 从数学角度看,将 5 条支路电流看做未知量,写出 5 个独立方程,解出 i0,再令其等于 0 ,即可得电路参数应满足的关系式。 具体解法是:写出 3 个KVL方程,2 个KCL方程。然后将它们化简成 3 元 1 次方程组,解出 i0 。 ![]() ![]()
|
![]()
反过来,当 i0 为 0 时,R0 两端的电位相等,故必有:
i 2 = i 4 从数学角度看,将 5 条支路电流看做未知量,写出 5 个独立方程,解出 i0,再令其等于 0 ,即可得电路参数应满足的关系式。 具体解法是:写出 3 个KVL方程,2 个KCL方程。然后将它们化简成 3 元 1 次方程组,解出 i0 。 ![]() ![]()
|








