电路定律的相量形式

时间:2023-03-14来源:佚名
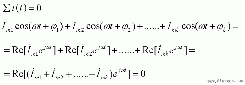
    1. 基尔霍夫电流定律 KCL
    将基尔霍夫定律应用于稳态正弦电路
电路定律的相量形式
    要使上式在任何时刻都成立,则必须有:
电路定律的相量形式
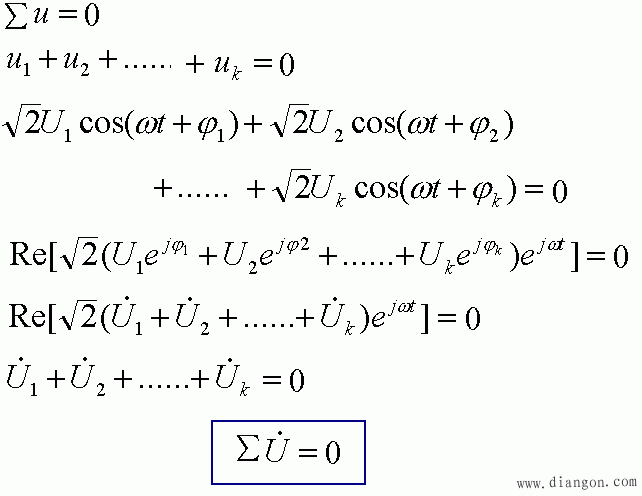
    2. 基尔霍夫电压定律 KVL
电路定律的相量形式
    3. 电阻元件的VCR
电路定律的相量形式
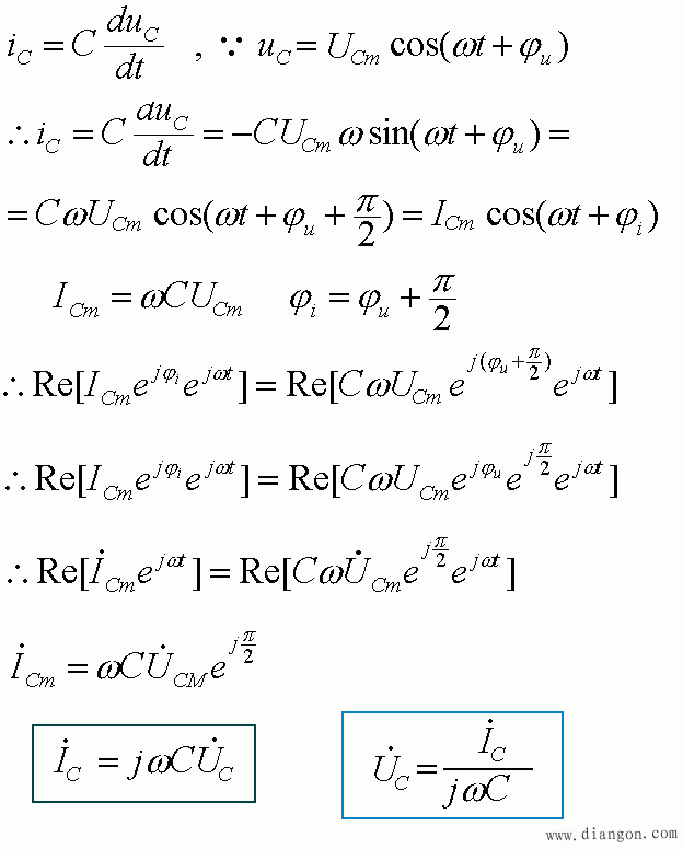
    4. 电容元件的VCR
电路定律的相量形式
    (1/ωC)具有电阻量纲,同时说明,电流超前电压 π/2,当ω趋于 0 时,阻抗为无限大,即开路。
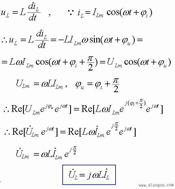
    5. 电感元件的VCR
电路定律的相量形式
    (ωL)具有电阻量纲,同时说明,电压超前电流 π/2,当ω趋于 0 时,阻抗为无限 0,即短路。
    6. 受控元件的相量表示
    对于线性受控源,控制量是一个正弦量,受控源必然也是一个正弦量,两者差一个实常数或复常数:
电路定律的相量形式
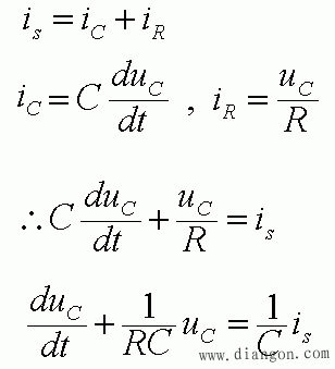
    举例:电路如图所示,is(t)=Imcos(ωt),开关一直闭合,在t =0 时突然开关打开,求解 t >0 时的 uCiCiR

电路定律的相量形式
    物理过程分析
电路定律的相量形式
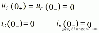
    (1) 求初始条件
电路定律的相量形式
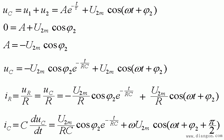
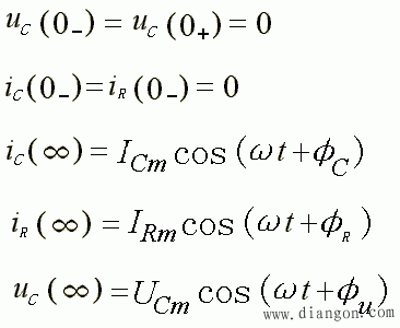
    (2) t >0 的电参量
电路定律的相量形式
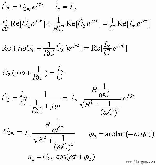
    对于非齐次微分方程,分两步求解:先求解齐次方程的解 u1,再解出原方程的一个特解 u2
电路定律的相量形式
    下面求解特解 u2
电路定律的相量形式
    用正弦量表示的最终结果:
电路定律的相量形式
电路定律的相量形式

    相关阅读

    看老电工如何让胜利万用表起死回生

    【免费下载】 PLC软件下载_PLC软件安装教程_PLC手册下载_PLC案例下载! 【免费学习】 变频器精品课程_西门子PLC精品教程_三菱PLC精品教程! 10年前购买的第一代胜利牌890C 数字万用表,前...
    2023-06-27

    回路标号

      在电气图中,用于表示回路种类、特征的文字和数字标号称为回路标号 。问路标号的使用为接线和查线提供了方便。    1.回路标号的一般原则   回路标号的一般规则如下:  ...
    2023-06-27
    回路标号

    单相三线三相四线三相五线区别在哪里?恐怕大多数电工都答不上来

    单相三线三相四线三相五线区别在哪里?恐怕大多数电工都答不上来。今天我们就来学一学关于单相三线三相四线三相五线的相关知识。 单相就是220V 电压 ,三相就是380V 电压 单相双线...
    2023-06-11
    单相三线三相四线三相五线区别在哪里?恐怕大多数电工都答不上来

    电缆桥架安装主要质量通病防治

    1)桥架内高压电缆和弱电 电缆共用一个桥架; 2)桥架内电缆过多,超过净面的40%一电力 电缆,50%一控制电缆; 3)桥架内电缆无标志(出入口和转角处和分支处); 4)桥架内电缆固定不...
    2023-03-21

    从市电零线与火线中怎么获取380伏电源

    在某些特定的现场环境中,可能仅存在零线和火线,而我们却需要380伏的电源来满足特定设备或工作的需求。这看似是一个棘手的问题,但实际上通过一些合理的方法和原理的运用,是可以...
    2024-09-28
    从市电零线与火线中怎么获取380伏电源

    热销商品

    加厚abs安全帽电工建筑工地程施工领导监理透气防砸头盔可印字V型

    这款加厚ABS安全帽专为电工、建筑工地施工人员、领导及监理设计,采用高强度ABS工程塑料,抗冲击、防砸性能优异,有效保障头部安全。帽体加厚设计,增强耐用性与防护等级...
    5.8

    水口钳高硬度模型剪钳电子钳工业级口水剪斜嘴钳偏口斜口专用钳子

    水口钳高硬度模型剪钳是一款工业级精密工具,专为电子、模型制作及精细作业设计。采用优质高碳钢材质,经热处理工艺打造,具备卓越的硬度和耐磨性,可轻松剪切金属引脚、...
    4.8

    170电子剪钳II 如意斜口钳 工业斜嘴钳水口钳 模型剪塑胶钳尖嘴钳

    170电子剪钳II如意斜口钳是一款专业级精密工具,集工业斜嘴钳、水口钳、模型剪、塑胶钳与尖嘴钳功能于一体,适用于电子维修、模型制作、手工艺及精密作业。其采用优...
    4.5

    安全帽国标工地加厚施工领导透气安全头盔建筑工程监理免费印字

    本款安全帽严格遵循国家GB 2811-2019标准,专为建筑工程、工地施工及监理人员设计。采用高强度ABS工程塑料,加厚壳体有效抗冲击,保障头部安全。帽体轻盈透气,内置可调...
    10

    包邮三角型简易螺丝刀三角十字螺丝刀螺丝批改锥起子五金工具5mm

    这款5mm三角型简易螺丝刀,专为拧紧或拆卸三角形螺丝设计,适用于电子维修、家电维护及精密仪器装配等场景。采用优质合金钢材质,刀头硬度高、耐磨损,确保长久使用不变...
    3.64

    网站栏目