感应电动势的计算
时间:2023-03-14来源:佚名
|
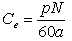
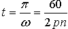
电枢绕组的感应电势是指电机正、负电刷间的电势。因此,无论是何种绕组,正、负电刷间的电势就是支路电势,而支路电势等于支路中各串联元件电势之和。电枢绕组的感应电势可用很多方法来求,在此,先求每个元件电势的平均值,再乘上支路元件数,即得支路电势。 1、一元件转过一极距所感应出的平均电动势 当元件轴线从某一主极轴线位置转到相邻主极轴线位置时,电枢转过的电角度为 2、一支路的总平均电动势 一支路串联元件数为 |
|
电枢绕组的感应电势是指电机正、负电刷间的电势。因此,无论是何种绕组,正、负电刷间的电势就是支路电势,而支路电势等于支路中各串联元件电势之和。电枢绕组的感应电势可用很多方法来求,在此,先求每个元件电势的平均值,再乘上支路元件数,即得支路电势。 1、一元件转过一极距所感应出的平均电动势 当元件轴线从某一主极轴线位置转到相邻主极轴线位置时,电枢转过的电角度为 2、一支路的总平均电动势 一支路串联元件数为 |






