负反馈放大器原理
时间:2023-03-14来源:佚名
|
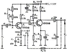
放大器中采用负反馈,在降低放大倍数的同时,可使放大器的某些性能大大改善。负反馈的类型很多,本实验以一个两级电压串联负反馈放大电路为例,来实践负反馈放大器性能的测量和调整,如图1所示。图中电阻 从第二级T2集电极接到第一级 T1的发射极构成负反馈。CL是等效负载电容,Rφ、Cφ是防止低频自激的电源退耦网络。以下列出负反馈放大器的有关公式,供验证分析时作参考。 1.放大倍数和放大倍数稳定度
方框图放大器的放大倍数为
式中, 称为开环放大倍数。反馈系数为
反馈放大器放大倍数稳定度与无反馈放大器放大倍数稳定度有如下关系
可见,负反馈放大器比无反馈放大器的稳定性提高了
而下限频率为
可见负反馈放大器的频带加宽。
式中
电压负反馈放大器的输出电阻有如下关系:
式中 |





倍。











