三相短路电流的计算机算法
|
一、节点阻抗矩阵
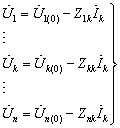
n节点系统(n不包括参考节点)的节点电压方程为 ![]() 可以简写为:IB=YBUB 两边同左乘YB-1=ZB,则节点电压方程变为: ZBIB=UB ZB称为节点阻抗矩阵。 ![]() 或 ![]() 可见, ![]() 对角元Zii称为自阻抗,其物理意义为:除节点i以外,其余节点都开路,在节点i注入单位电流时,节点i上的电压。因此, Zii等于从节点i向整个网络看进去的等值阻抗。 ![]() 可见, 非对角元Zij称为互阻抗,或称为转移阻抗,其物理意义为:除节点j以外,其余节点都开路,在节点j注入单位电流时,节点i上的电压。 2、用节点阻抗矩阵计算三相短路电流 解:取功率基准值SB=50MVA,各级电压基准值UB=Uav=115、10.5kV,计算各元件的电抗标幺值,并做出等值电路。 或 |












(8-44)
,所以,从k点流出的电流为:
(8-40)
(8-45)
















