单位阶跃函数和单位冲激函数
时间:2023-03-14来源:佚名
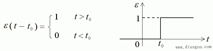
1、Unit-step Function 单位阶跃函数
![]()
![]()
ε ( t = 0+ ) = 1
![]()
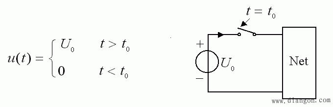
上述直流电源的开关例子可表示为:
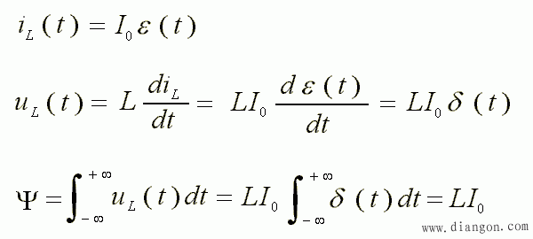
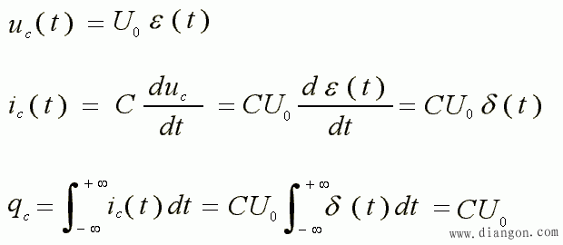
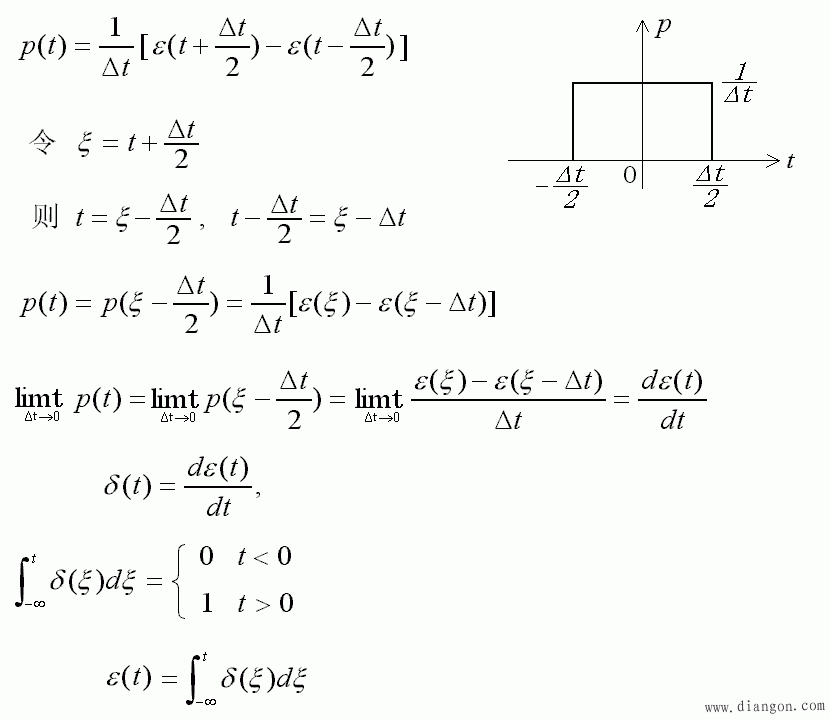
一个幅度为 I0 的矩形脉冲,可以用单位阶跃函数表示成: ![]() 2、Unit-impulse Function 单位冲激函数
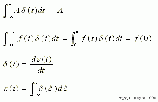
![]()
![]()
![]()
![]()
![]()
![]()
|
1、Unit-step Function 单位阶跃函数
![]()
![]()
ε ( t = 0+ ) = 1
![]()
上述直流电源的开关例子可表示为:
一个幅度为 I0 的矩形脉冲,可以用单位阶跃函数表示成: ![]() 2、Unit-impulse Function 单位冲激函数
![]()
![]()
![]()
![]()
![]()
![]()
|






