双闭环调速系统电流调节器的设计

时间:2023-03-14来源:佚名

设计分为以下几个步骤:
1.电流环结构图的简化
2.电流调节器结构的选择
3.电流调节器的参数计算
4.电流调节器的实现
1.电流环结构图的简化
简化内容
忽略反电动势的动态影响
等效成单位负反馈系统
小惯性环节近似处理
① 忽略反电动势的动态影响及条件
转速、电流双闭环调速系统:

双闭环调速系统电流调节器的设计
忽略反电势E
双闭环调速系统电流调节器的设计
电流调节过程比转速和反电动势的变化过程快得多,在按动态性能设计电流环时,可以暂不考虑反电动势变化的动态影响,即ΔE≈0。这时,电流环如下图所示。
双闭环调速系统电流调节器的设计
忽略E条件:
双闭环调速系统电流调节器的设计
② 等效成单位负反馈系统
如果把给定滤波和反馈滤波两个环节都等效地移到环内,同时把给定信号改成U*i(s) /β ,则电流环便等效成单位负反馈系统:
双闭环调速系统电流调节器的设计
③ 小惯性环节近似处理
最后,由于Ts 和 Toi 一般都比Tl 小得多,可以当作小惯性群而近似地看作是一个惯性环节,其时间常数为
T∑i = Ts Toi
简化的近似条件为 :
双闭环调速系统电流调节器的设计
电流环结构图最终简化成:
双闭环调速系统电流调节器的设计
2. 电流调节器结构的选择
典型系统的选择
对电流环的要求:
(a) 希望其跟随性能好(快)
(b) 具有保护特性
(c) 对电网电压波动的及时抗扰作用
已知:跟随性能好 → 选择典型 I 型系统
抗扰性能好 → 选择典型Ⅱ型系统
双闭环调速系统电流调节器的设计
经查表知,典型 I和典型Ⅱ抗
扰性能接近。所以电流环一般应选典型 I 型,在这种情况下,跟随性能好,而抗扰性能也不差。
电流调节器结构选择
双闭环调速系统电流调节器的设计
从电流环结构图的最终简化形式表明,电流环的控制对象是双惯性型的,要校正成典型 I 型系统,显然应采用PI型的电流调节器,其传递函数可以写成
双闭环调速系统电流调节器的设计
式中 Ki — 电流调节器的比例系数;
τi — 电流调节器的超前时间常数。
为了让调节器零点与控制对象的大时间常数极点对消,选择双闭环调速系统电流调节器的设计
则电流环的动态结构图便成为典型I形式,其中双闭环调速系统电流调节器的设计
校正后电流环的结构和特性
①动态结构图:
双闭环调速系统电流调节器的设计
②开环对数幅频特性:
双闭环调速系统电流调节器的设计
3. 电流调节器的参数计算
电流调节器的参数有: Ki 和 τi
其中双闭环调速系统电流调节器的设计
(Tl 为已知参数)
剩下的只有比例系数 Ki, 可根据所需要的动态性能指标选取。
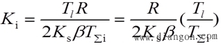
在一般情况下,希望电流超调量σi < 5%,查表可知,可选 ξ =0.707,KI T∑i =0.5,则
双闭环调速系统电流调节器的设计(2-a)
由式双闭环调速系统电流调节器的设计和式双闭环调速系统电流调节器的设计
得到
双闭环调速系统电流调节器的设计(2-b)
注意:
如果实际系统要求的跟随性能指标不同,式(2-a)和式(2-b)当然应作相应的改变。
此外,如果对电流环的抗扰性能也有具体的要求,还得再校验一下抗扰性能指标是否满足。
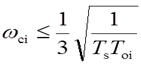
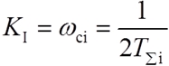
4. 电流环校验近似条件
以上设计结果是在一系列假定条件下得到的,具体设计时必须加以校验。
典型I型系统:
双闭环调速系统电流调节器的设计 KI 为典型I型系统开环放大倍数
ωci电流环截止频率
近似条件 双闭环调速系统电流调节器的设计 双闭环调速系统电流调节器的设计

(晶闸管触发和整流装置的传函由一个滞后环节近似成惯性环节)

双闭环调速系统电流调节器的设计 (忽略反电势对电流环的作用)
双闭环调速系统电流调节器的设计 (处理小惯性环节的条件)

热销商品

加厚abs安全帽电工建筑工地程施工领导监理透气防砸头盔可印字V型

这款加厚ABS安全帽专为电工、建筑工地施工人员、领导及监理设计,采用高强度ABS工程塑料,抗冲击、防砸性能优异,有效保障头部安全。帽体加厚设计,增强耐用性与防护等级...
5.8

明盾ABS加厚安全帽工地 电力绝缘建筑施工防砸劳保头盔冬免费印字

明盾ABS加厚安全帽专为建筑、电力、施工等高危环境设计,采用高强度ABS工程塑料,具备优异的抗冲击、防砸和绝缘性能,有效保障作业人员头部安全。帽体加厚设计,增强耐用...
19

欧普led筒灯3w孔灯超薄桶灯吊顶天花灯过道嵌入式洞灯客厅5w

欧普LED筒灯是一款高品质嵌入式照明产品,适用于客厅、过道、吊顶等多种场景。采用优质LED光源,提供3W和5W两种功率选择,光线柔和均匀,显色指数高,有效还原真实色彩。超...
7.45

水口钳高硬度模型剪钳电子钳工业级口水剪斜嘴钳偏口斜口专用钳子

水口钳高硬度模型剪钳是一款工业级精密工具,专为电子、模型制作及精细作业设计。采用优质高碳钢材质,经热处理工艺打造,具备卓越的硬度和耐磨性,可轻松剪切金属引脚、...
4.8

170电子剪钳II 如意斜口钳 工业斜嘴钳水口钳 模型剪塑胶钳尖嘴钳

170电子剪钳II如意斜口钳是一款专业级精密工具,集工业斜嘴钳、水口钳、模型剪、塑胶钳与尖嘴钳功能于一体,适用于电子维修、模型制作、手工艺及精密作业。其采用优...
4.5

网站栏目