集成运算放大电路中的恒流源电路如何分析?
|
分析恒流源电路的方法是:
(1)确定恒流源电路中的基准晶体管或场效应管; (2) 计算或确定基准电流; (3)根据半导体器件之间的一致性,计算输出恒流值; (4)绘制恒流部分的交流通路,确定恒流源的内阻。 由于恒流源的内阻较大,计算恒流源内阻时不能忽略三极管集电极与发射极之间,或场效应管漏极与源极之间的动态电阻。 【解答过程】:1、基本镜像恒流源分析 已知基本镜像恒流源电路如图1所示,试计算输出电流
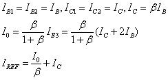
图1 晶体管 当 由基准输入回路得, 所以, 当 恒流输出管 必须注意,应用 基本镜像恒流源电路的扩展电路有两种,如图2所示。
图2 图2(b)的 图2(c)中增加 所以, 当 2.高内阻(Wilson)恒流源 图3是Wilson恒流源电路,试计算恒流输出值。
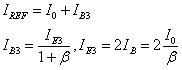
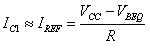
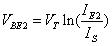
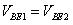
图3 当 整理后可得: 按二极管形式连接的 3.微恒流源(Widlar)电路 图4是Widlar微恒流源电路,试计算输出恒流值。
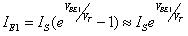
图4 晶体管 所以, 同理,当 由基极回路方程得: 将式(1)和式(2)代入式(3),同时考虑 例,当电源电压等于 15V, 将参数代入式(4)可得 若不采用微电源源电路,采用基本恒流源电路,虽然只需要一个电阻R,但此时电阻阻值要求为: 此阻值远大于微电源电路中电阻R与R1之和,意味着需要占用更多的芯片面积。 |
的大小和恒流源内阻。
是基准管,且
,工作在放大状态。
与
可推得


时,
。
。
,保证
。
管可以进一步减少恒流输出
之间的近似程度,此时,

时,基本镜像恒流值
,增加
,更接近
,工作在放大状态。

。
,工作在放大状态,
。
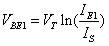
(1)
(2)
(3)
,得:
(4)
,若要产生
的恒流源,试确定电阻R1的值。
。







