集成电路恒流源
时间:2023-03-14来源:佚名
|
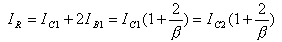
恒流源电路是指能够输出恒定电流的电路。它具有很高的动态输出电阻,在集成电路中,广泛地应用于晶体管的偏置电路、差动放大电路的射极电路、直流电平移动电路、放大电路的负载等。恒流源电路形式较多,这里仅讨论其中最基本的几种。 一、基本恒流源电路 基本恒流源电路如图Z0601所示。在集成电路中,T1、T2 是相邻的晶体管,因此它们的性能参数基本相同 。R与T1管串联作T2管的偏置电路,并提供基准电流IR。T1管的集电极与基极连接在一起,UCB=0,它工作在临界饱和状态,IC1 = βIB1仍成立,因此,可以认为T1、T2均工作在线性区。因为UBE1 = UBE2,故有IB1 = IB2,IC1 = IC2,由图可知:![]() 从而可得: ![]() 若β>2,则有: ![]() 它表明T1、T2管具有电流"镜像"关系。这种恒流源电路也常称为"镜像"恒流源电路。 ![]() 由于UBE与温度有关,所以,这种恒流源受温度影响较大;此外,当β值不高时,IC2与IR之间误差较大,电路的镜像特性变差。因此,在此电路的基础上出现了多种改进形镜像恒流源电路。 二、微电流恒流源电路 集成电路中某些放大电路往往要求提供微弱的偏置电流,以提高输入阻抗,减小失调等。上述电路IC2 较大,要减小IC2 就要增大R,而集成电路工艺不允许使用高阻值电阻。这就需要从电路结构上改进。改进后的电路如图Z0602所示,它是在图Z0601的基础上增加了一个射极电阻Re。 当IR一定时,UBE1 - UBE2 = △UBE = IE2Re2,从而可得: ![]() 因△UBE较小,用阻值不大的Re2 就可获得微小的工作电流。此外,由于Re2的电流负 反馈作用,使得这种电路输出电流的稳定性得以提高。三、多路恒流源电路 在集成电路中,常常要用到多个恒流源,这时可将恒流源电路改接成图Z0603所示的组合形式。 图中,R与T2管相串联,提供基准电流IR,并建立T1、T3、T4管的偏置电压。T2与T1,T2与T3分别组成微电流源,按微电流源电流分配原则分配电流;T2 与T4组成镜像电流源,IC4=IR 。 因为,只要满足UCE ≥ 1V,就能使恒流管工作在放大区从而具有恒流特性,所以,恒流源两端的直流压降较小,直流电阻UCE / IC也就较小。而当UCE变化时,IC基本上不变,所以,交流电阻 很大。以上讨论的是NPN型管组成的恒流源电路,如果需要的电流方向相反,则可选用PNP型管组成恒流源电路。 |
。R与T1管串联作T2管的偏置电路,并提供基准电流IR。T1管的集电极与基极连接在一起,UCB=0,它工作在临界饱和状态,IC1 = βIB1仍成立,因此,可以认为T1、T2均工作在线性区。因为UBE1 = UBE2,故有IB1 = IB2,IC1 = IC2,由图可知:




反馈作用,使得这种电路输出电流的稳定性得以提高。
很大。








