电力系统不正常工作状态
|
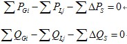
给出了电力系统运行状态的定义,并介绍了电力系统的运行条件一般可用三组方程式,了解电力系统正常运行状态,以及电力系统控制运行的目的。 1. 电力系统运行状态的定义 是指电力系统在不同运行条件(如负荷水平、出力配置、系统接线、故障等)下的系统与设备的工作状况。 2. 电力系统的运行条件一般可用三组方程式描述 (1) 一组微分方程:用来描述系统元件及其控制的动态规律; (2) 两组代数方程:构成电力系统的正常运行的等式和不等式约束条件; (3) 等式约束条件。 电力系统的运行条件是由电能性质本身决定的。即系统发出的有功功率和无功功率应在任一时刻与系统随机变化的负荷功率(包括传输损耗)相等: |
|
|
分别为i个发电机或其他电源设备发出的有功和无功功率; |
分别为j个负荷使用的有功和无功功率; |
分别为电力系统中各种有功功率和无功功率损耗。
|
| 不等式约束条件涉及供电质量和电力设备安全运行的某些参数,它们应处于安全运行的范围(上限和下限)内,如: |
![]() |
发电机、变压器或用电设备的功率及其上限; |
母线电压及其上、下限; |
输、配电线路中的电流及其上限; |
系统频率及其上、下限。 |
|
3. 电力系统正常运行状态 |


分别为电力系统中各种有功功率和无功功率损耗。

母线电压及其上、下限;
输、配电线路中的电流及其上限;
系统频率及其上、下限。







