数字万用表是近年来出现的先进测量仪表。国际上已出现袖珍式数字万用表代替传统的指针式万用表的趋势。由于它采用了大规模集成电路,具有数字化显字功能,因此仪表的结构轻巧、测量精度高、输入阻抗高、显示直观、过载能力强、功能全、耗电省等优点,深受人们欢迎。目前国内使用较多的DT-830、 DT-840和DT-845三种型号。本节主要介绍DT-830型万用表的基本框图原理、面板旋钮的作用和使用方法。其面板图如图1所示。

图1 DT-830型数字万用表的面板图
1. 基本工作原理 数字万用表的种类较多,但基本工作原理则是大同小异,其基本方框图如图2所示。

图2 DT-830型数字万用表的基本方框图
虚线框表示直流数字电压表DVM,它由阻容滤波器、 A/D转换器、 LCD显示器组成。在数字电压表的基础上再增加交流-直流(AC-DC)转换器、电流-电压(I-V)转换器和电阻-电压(Ω-V)转换器,这就构成了数字万用表。 2. 面板旋钮的作用 万用表面板如图1所示,上面排列着液晶显示屏、量程开关、输入插口、 hFE插口和电源开关五个部分,各部分的功能如下: (1) 液晶显示屏: 万用表的显示位数是4位,因最高位(千位)只能显示数字“1”或者不显示数字,故算半位,总称 位(读作三位半)。最大显示数为1999或-1999。当测量直流电压和直流电流时,仪表有自动显示极性功能,若测量值为负,显示的数字前面将带“-”号。当仪表输入超载时,屏上出现“1”或“-1”。 (2) 量程开关: 旋转式量程开关位于面板中央,是转换工作种类和量程用的。开关周围用不同的颜色和分界线标出各种不同工作状态的范围。 (3) 输入插口: 输入插口是万用表通过表笔和测量点连接的部位,共有“COM”、“V.Ω”、“mA”和“10A”四个孔。负表笔始终置于“COM”插口,正表笔要根据工作种类和测量值的大小置于“V.Ω”、“mA”或“10A”中。在“COM”和“V.Ω”之间的连线上,印有标记,表示从此两孔输入时,测交流电压不得超过750V,测直流电压不得超过1000V。此时测量“V”和“Ω”都处于同一插口内,因此应谨慎检查量程开关选择位置是否正确。在“COM”、“mA”之间和“COM”、“10A”之间的连线上也分别附有标记,表示在对应的插口间所测量的电流值不能超过200mA和10A。 (4) hFE插口: 此插口是插放被测晶体管用的。测量时管子的e、 b、 c三脚应分别插入“E”“B”“C”三孔中,“E”有两孔作用一样,发射极管脚可就便插入。 (5) 电源开关: 当开关置于“ON”位置,表内电源接通,可以正常工作。当开关置于“OFF”位置,电源关闭。 DT-830型万用表用9V小电池,装在表内电池盒中。在电池盒内还装有0.5A快速熔断器,当“DC.A”和“AC.A”量程内超载测量时,熔断器将立刻被烧断,起到保护作用,此时显示器上也无读数。 3. 使用方法 (1) 直流电压的测量 将量程开关转至“COM”范围内适当的挡位,负表笔置于“COM”插口,正表笔置于“V.Ω”插口,电源开关推至“ON”一边,表笔接触测量点之后,屏上便出现测量值。若量程开关置于“200m”,显示屏上所显示数值以“毫伏”为单位;置于其他四挡时,显示的值以“伏”为单位。这里应该指出,量程开关所置的挡位不同,测量的精度也不同。 (2) 交流电压的测量 将量程开关转至“AC.V”范围内适当的挡位上,表笔所在插口不变,具体测量方法与测直流电压时相同。 (3) 直流电流的测量 将量程开关转至“DC.A”范围。当测量的电流值小于200mA时,正表笔应置于“mA”插口,按照测量值的大小,把量程开关转至适当位置上,接通表内电源,将仪表串入被测量的电路中,即可显示出读数。当量程开关置于“200mA”、“ ”、“2m”三挡时,显示屏上的读数以“毫安”为单位;当置于“200μ”一挡时,显示的值以“微安”为单位。如果被测量的电流值大于200mA,量程开关只能置于“ ”处,同时要将正表笔置于“10A”插口,其读数以“安”为单位。 (4) 交流电流的测量 将量程开关置于“AC.A”范围,正表笔依被测量程不同置于“mA”或“10A”插口,具体测量方法与测直流时相同。 (5) 电阻的测量 将量程开关置于“Ω”范围,正表笔置于“V.Ω”插口,接通电源开关于“ON”位置。所测数值的单位和各量程上所标明的相对应。例如当量程开关置于“200”上时以“欧”为单位,置于“2M”或“20M”上时,显示的数字以“兆欧”为单位。若测量值超量限时,显字屏左端将出现“1”字,这时应改变量程范围。 (6) 电路连通性的检查 将量程开关转至“ ”位置,表笔所在的位置和测电阻时相同,接通万用表电源,让表笔触及被测电路,若两只表笔间电路的电阻值小于20Ω,则仪表内的蜂鸣器发出叫声,说明电路是接通的;若听不到声音,表示电路不通或接触不良。 (7) 二极管的检查 将量程开关置于“ ”位置,正表笔置于“V.Ω”插口,其测试电路如图3(a)、 (b)所示。按图(a)连接,若显示屏显示出二极管正向电压降在0.5V和0.8V之间,则表明硅二极管是正常的;若在屏上显示“000”或“1”,则表明二极管是短路或断路;按图(b)连接,若在显示屏上显示“1”,则表明二极管是正常的;若在屏上显示“000”或其它数值,则表明二极管是不良的。

图3 检查二极管的电路
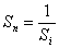
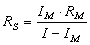
(8) 晶体管Hfe的测量 将量程开关置于“NPN”或“PNP”位置,把被测管子的基极、集电极和发射极分别插入hFE的“B”、“C”和“E”插孔内,在屏上显示出hFE参数在40~1000之间,则表明晶体三极管是好的。 4. 注意事项 (1) 当遇到电阻、电流和二极管不能进行测试时,应检查一下熔断器,如发现已熔断,则更换新的熔断器; (2) 当电池电压低于工作所需电压时,在显示屏上将闪现“ ”符号,此时提醒使用者更换电池; (3) 当测量工作完毕时,一定要将开关置于“OFF”位置。 小 结 1. 万用表是通信维护和工厂生产中常见多用途的电气测量仪表。而数字万用表已得到广泛应用,大有将代替传统的指针式万用表的趋势。 2. 万用表的结构主要由三部分组成: 即表头、测量电路、转换装置。 3. 直流电流表原理: 采用环形抽头式分流电路来扩大量程,其分流电阻公式为: 4. 交流电流表原理: 使交流电流经半波整流电路后变成单向脉动的直流电,其整流后的工作总效率为: K0=p×η×K 5. 直流电压表原理: 采用与表头串联电阻来扩大测量电压量程,其直流电压灵敏度 Sn与表头灵敏度Si的关系是: 6. 交流电压表原理: 采用整流系电表装上合适的降压电阻,以扩大量程。 7. 欧姆表原理: 采用不同的中心阻值,以扩大量程。 8. MF-30型万用表,利用电阻R×100挡,可以检测晶体二极管、三极管,但与专用仪表测量不同,即在操作上进行次数较多些,其它还可检测电解电容器等用途。 9. 数字万用表的种类较多,但基本原理则是大同小异,由于结构轻巧、功能全、精度高和使用方便等优点。其用途远比指针式仪表广泛得多。 |