输电线路纵联差动原理

时间:2023-03-14来源:佚名

1. 线路正常工作或外部故障时

输电线路纵联差动原理
图1

流入差动继电器的电流为:

输电线路纵联差动原理
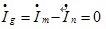
2. 当线路发生内部故障时

输电线路纵联差动原理
图2

流入差动继电器的电流为:

输电线路纵联差动原理
有很大的差动电流流入差动继电器,保护动作,断开两侧电路器,切除故障。

    相关阅读

    装修水电改造怎么不被坑?标准又是什么?

    强电 水电预防线 1.改水电之前要先到工地上把水电的线路图画出来(俗称水电预放线)。画好了水电的走位基本上就确定了,可以尽量防止加线涨价。(如上图) 水电预放线,其实很科学...
    2023-06-11
    装修水电改造怎么不被坑?标准又是什么?

    常用给排水工程、电气设备文字符号、专业图纸代号,终于找到了!

    猜你喜欢 新手学习——给排水工程图识读 一文教你看懂家装水电施工图(新人必看) 一文教你如何读懂电气安装工程系统图...
    2023-06-11
    常用给排水工程、电气设备文字符号、专业图纸代号,终于找到了!

    三菱PLC程式上载不完整的剖析

    上载三菱plc 程式后,在程式中出现黄色底色,同样的程式写入另一PLC却不能完全使用的故障! 编程方式分两种,一种是用电脑 软件,程式总体结构上编译时出现重大错误时,无法编译...
    2023-03-21

    TL494引脚图和电路图讲解 TL494开关电源芯片的工作原理和应用电路

    今天是TL494 开关电源芯片,主要是以下几个方面: 1、什么是 TL494芯片? 2、TL494 引脚图及功能 3、TL494CAD 模型 4、TL494 的主要性能参数 5、TL494 的工作原理 6、TL494 应用电路 一、什么是...
    2023-08-15
    TL494引脚图和电路图讲解 TL494开关电源芯片的工作原理和应用电路

    电动吸奶器电路原理图 电动吸奶器电路设计方案

    今天分享一个电动吸奶器的电路设计方案,如果不知道电动吸奶器是啥玩意的朋友,请自行百度脑补,电路原理图如下: 原理图 下面分别来说明,首先是充电电路. 电池充电电路 使用...
    2023-08-24
    电动吸奶器电路原理图 电动吸奶器电路设计方案

    热销商品

    加厚abs安全帽电工建筑工地程施工领导监理透气防砸头盔可印字V型

    这款加厚ABS安全帽专为电工、建筑工地施工人员、领导及监理设计,采用高强度ABS工程塑料,抗冲击、防砸性能优异,有效保障头部安全。帽体加厚设计,增强耐用性与防护等级...
    5.8

    水口钳高硬度模型剪钳电子钳工业级口水剪斜嘴钳偏口斜口专用钳子

    水口钳高硬度模型剪钳是一款工业级精密工具,专为电子、模型制作及精细作业设计。采用优质高碳钢材质,经热处理工艺打造,具备卓越的硬度和耐磨性,可轻松剪切金属引脚、...
    4.8

    170电子剪钳II 如意斜口钳 工业斜嘴钳水口钳 模型剪塑胶钳尖嘴钳

    170电子剪钳II如意斜口钳是一款专业级精密工具,集工业斜嘴钳、水口钳、模型剪、塑胶钳与尖嘴钳功能于一体,适用于电子维修、模型制作、手工艺及精密作业。其采用优...
    4.5

    安全帽国标工地加厚施工领导透气安全头盔建筑工程监理免费印字

    本款安全帽严格遵循国家GB 2811-2019标准,专为建筑工程、工地施工及监理人员设计。采用高强度ABS工程塑料,加厚壳体有效抗冲击,保障头部安全。帽体轻盈透气,内置可调...
    10

    包邮三角型简易螺丝刀三角十字螺丝刀螺丝批改锥起子五金工具5mm

    这款5mm三角型简易螺丝刀,专为拧紧或拆卸三角形螺丝设计,适用于电子维修、家电维护及精密仪器装配等场景。采用优质合金钢材质,刀头硬度高、耐磨损,确保长久使用不变...
    3.64

    网站栏目