开环系统机械特性和闭环系统静特性的比较
时间:2023-03-14来源:佚名
| 系统的开环机械特性为 |
![]() |
| 系统闭环时的静特性为 |
![]() |
![]() |
| 比较上述两式可以得出以下结论: (1)当负载相同时,两者的转速降落分别为 |
即 ![]() |
| 因此,闭环系统速降小,静特性要比开环系统机械特性硬得多。 (2)当理想空载转速相同时,开环和闭环系统的静差率分别为 |
![]() |
|
即闭环系统的静差率小得多,稳速精度高。 |
![]() |
| 解:在上例中已经求得Δnop=275r/min但为了满足调速要求,须有Δncl=2.63r/min 根据Dcl = (1 - K )Dop 可得 ![]() 又 |
![]() |
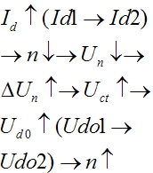
| 即只要放大器的放大系数等于或大于46,闭环系统就能满足所需的稳态性指标。 ●问题:闭环系统是怎样使静特性变硬的?降低速降的实质是什么?直流调速系统的静态速降是由电枢回路的电阻压降引起的(n=IdR/Ce),闭环不会使压降减少,静特性变硬的实质在于闭环系统的自动调节作用. |
![]() |
![]() |
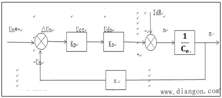
| 系统调节过程 |
![]() |
| ○闭环系统减小速降的物理意义 由于这种自动调节作用,使得它能随着负载的变化而相应地改变电枢电压,以补偿电枢回路电阻压降,因而就改变一条开环机械特性。 闭环系统的静特性就是在每条机械特性上取一个相应的工作点,再把这些点集合而成。 |



即 

,
,采用闭环系统,如何设计放大器以满足此要求?(Kp=?)













