串联电路的谐振
时间:2023-03-14来源:佚名
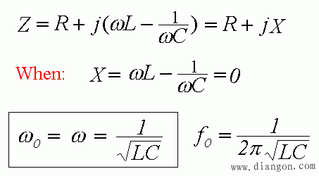
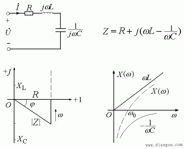
1. RLC 串联电路谐振的定义![]() ![]()
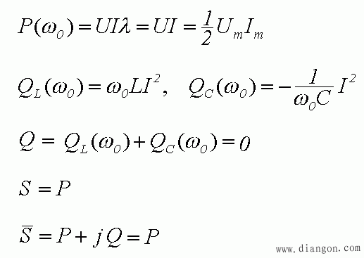
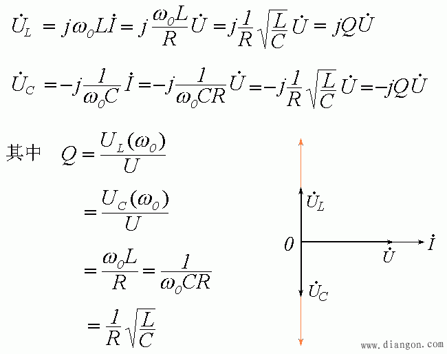
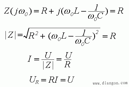
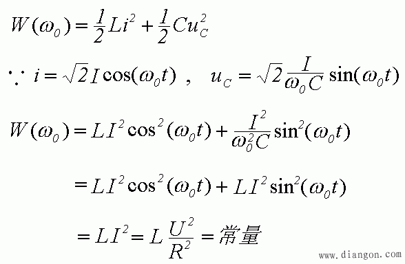
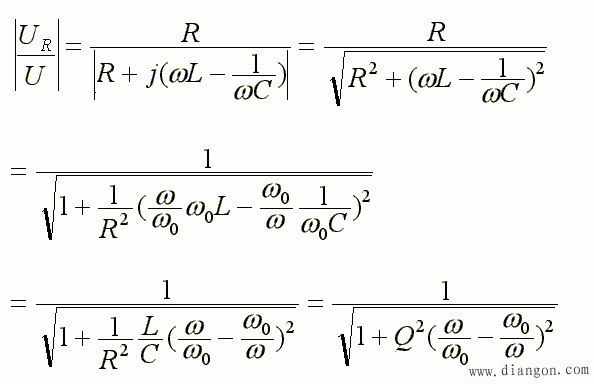
2. RLC 串联谐振的特性与 Q 值描述①谐振时电路呈电阻性,且阻值为阻抗的最小值
![]() ![]() ![]()
![]() ![]()
![]()
![]()
![]()
![]()
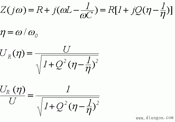
![]() 3.RLC 串联谐振的频率选择特性
![]() ![]()
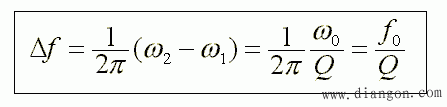
定量描述选频特性时,要用同频带宽度 △f 来衡量:它等于峰值两边的 0.707 处所对应的频率之差: ![]() |
1. RLC 串联电路谐振的定义![]() ![]()
2. RLC 串联谐振的特性与 Q 值描述①谐振时电路呈电阻性,且阻值为阻抗的最小值
![]() ![]() ![]()
![]() ![]()
![]()
![]()
![]()
![]()
![]() 3.RLC 串联谐振的频率选择特性
![]() ![]()
定量描述选频特性时,要用同频带宽度 △f 来衡量:它等于峰值两边的 0.707 处所对应的频率之差: ![]() |







