计算负荷的实用计算方法
时间:2023-03-14来源:佚名
|
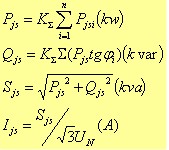
短时运行工作制:是指工作时间很短,停歇时间相当长的用电设备的工作制。半小时以下 断续周期工作制:是指有规律性的时而工作、时而停歇,反复运行的用电设备的工作制。周期不超过10分,为表征其断续周期的特点,用整个工作周期里的工作时间与全周期时间之比,即用暂载率(JC)表示 ![]() 设备容量的确定 连续运行工作制 ![]() 短时运行工作制 ![]() 断续周期工作制 ![]() 在参与负荷计算时,从发热的观点看,需将铭牌功率按上式换算统一规定的暂载率下的值: 对于起重机 换算到JCX=JC25 =25% 对于电焊机 换算到JCX=JC100 =100% 式中 ——铭牌负荷暂载率; ——换算前铭牌额定功率,单位为KW。1、需要系数法 需要系数 是计算负荷与设备总的设备容量比值。 为什么计算负荷不能用额定负荷,而要考虑需要系数呢? 所有设备,工作方式不同,设备发热不同,所有设备不一定同时工作,不都满负荷,设备有损耗----效率,线路有损耗,因此,其消耗的功率不是额定值。 需要系数的物理意义 需要系数考虑了以下的主要因素: ![]() 式中 ——同时使用系数,为在最大负荷工作班工作着的用电设备容量与接于线路中全部用电设备容量之比; ——负荷系数,表示工作着的用电设备实际所需功率与全部用电设备投入容量之比; ——线路效率; ——用电设备在实际运行时的效率。 2、三相计算负荷的确定 单台设备 ![]() 一组设备 (对单台设备求和) 多组 ![]() 二项式法 ![]() |




——铭牌负荷暂载率;
——换算前铭牌额定功率,单位为KW。
——同时使用系数,为在最大负荷工作班工作着的用电设备容量与接于线路中全部用电设备容量之比;
——负荷系数,表示工作着的用电设备实际所需功率与全部用电设备投入容量之比;
——线路效率;
——用电设备在实际运行时的效率。 











