三相电源的连接法

时间:2023-03-14来源:佚名

在三相电路中,一般有两种接法:三相电源的连接法形(星形)和三相电源的连接法形(三角形)。

1.星形连接(三相电源的连接法形)

将三相绕组的末端XYZ联在一起,用N表示,成为中点,再将始端ABC引出与负载相

连,成为端线(俗称火线),这样的连接称为星型连接,如图1所示。此时若将负载也接成星型,中点用N′表示。电源和负载中点的连线称为中线(俗称地线),这种三相电路称为三相四线制,这种电路相当于三个单相电路,中线为三个单相电路的公共回线。

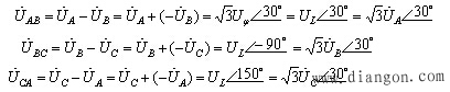
端线与中线间的电压为相电压三相电源的连接法三相电源的连接法三相电源的连接法,简写为三相电源的连接法三相电源的连接法三相电源的连接法;端线与端线之间的电压称为线电压,如三相电源的连接法三相电源的连接法三相电源的连接法三相电源的连接法 三相电源的连接法

1 电源的星形连接示意图 2 电压相量图

设三个相电压的参考极性均是端线为正,中线为负,相电压有效值表示为三相电源的连接法,线电压有效值表示为三相电源的连接法,当略去电源的内阻抗时,通过相量图的几何关系,如图2所示,线电压可以表示为:

三相电源的连接法

可见线电压也是对称的,且线电压是相电压的三相电源的连接法倍,它较相应的相电压超前三相电源的连接法。即

三相电源的连接法

我国的供电系统相电压是220V,在星形连接时线电压是三相电源的连接法=380V,当电源和负载都是星形连接时,线电流等于相电流,若线路为对称负载,则负载相电流为

三相电源的连接法

2.三角形(三相电源的连接法)连接

3是三相电源的三相电源的连接法连接,三个电源的始、末端一次相连(即BXCYAZ相连接)构成回路,并从三个连接点引出端线。

由图可知,三相电源接成三相电源的连接法形时,三相电源的连接法三相电源的连接法三相电源的连接法,也即线电压等于相电压。

三相电源的连接法

3 相电源的三相电源的连接法连接

如果负载也是三相电源的连接法形连接,负载相电压即为电源相应的相电压,则由上图可得线电流和相电流的关系为:

三相电源的连接法

若负载对称,则负载电流也对称,同样可通过相量图的几何关系,可得到线电流是相电流的三相电源的连接法倍,但线电流滞后相电流三相电源的连接法

在正确的连接情况下,三相电源构成的回路中有三相电源的连接法,这时电源能正常运行。但若将一相电压接反,比如,A相电源三相电源的连接法XZAB相接,则回路中总电压为

三相电源的连接法

这样,就有一个有效值等于两倍相电压的电压源作用于闭合回路,由于发电机绕组的阻抗很小,故在回路中产生很大的环路电流,致使发电机绕组烧毁,因此三相电源极少接成三相电源的连接法形,如果需要,则须注意避免接错。

3.三相电路

以上讨论了星形和三角形连接时的相电压、相电流和线电压、线电流之间的关系。在讨论中忽略了三相线路的损耗。由三相电源与三相负载连接而成的系统,有以下五种情况:

1三相电源的连接法接法:电源三相电源的连接法形接法、负载三相电源的连接法形接法(三相四线制,有中线)

2三相电源的连接法接法:电源三相电源的连接法形接法、负载三相电源的连接法形接法(三相三线制,无中线)

3三相电源的连接法接法:电源三相电源的连接法形接法、负载三相电源的连接法形接法(三相三线制)

4三相电源的连接法接法:电源三相电源的连接法形接法、负载三相电源的连接法形接法(三相三线制)

5三相电源的连接法接法:电源三相电源的连接法形接法、负载三相电源的连接法形接法(三相三线制)

    热销商品

    加厚abs安全帽电工建筑工地程施工领导监理透气防砸头盔可印字V型

    这款加厚ABS安全帽专为电工、建筑工地施工人员、领导及监理设计,采用高强度ABS工程塑料,抗冲击、防砸性能优异,有效保障头部安全。帽体加厚设计,增强耐用性与防护等级...
    5.8

    欧普led筒灯3w孔灯超薄桶灯吊顶天花灯过道嵌入式洞灯客厅5w

    欧普LED筒灯是一款高品质嵌入式照明产品,适用于客厅、过道、吊顶等多种场景。采用优质LED光源,提供3W和5W两种功率选择,光线柔和均匀,显色指数高,有效还原真实色彩。超...
    7.45

    水口钳高硬度模型剪钳电子钳工业级口水剪斜嘴钳偏口斜口专用钳子

    水口钳高硬度模型剪钳是一款工业级精密工具,专为电子、模型制作及精细作业设计。采用优质高碳钢材质,经热处理工艺打造,具备卓越的硬度和耐磨性,可轻松剪切金属引脚、...
    4.8

    170电子剪钳II 如意斜口钳 工业斜嘴钳水口钳 模型剪塑胶钳尖嘴钳

    170电子剪钳II如意斜口钳是一款专业级精密工具,集工业斜嘴钳、水口钳、模型剪、塑胶钳与尖嘴钳功能于一体,适用于电子维修、模型制作、手工艺及精密作业。其采用优...
    4.5

    安全帽国标工地加厚施工领导透气安全头盔建筑工程监理免费印字

    本款安全帽严格遵循国家GB 2811-2019标准,专为建筑工程、工地施工及监理人员设计。采用高强度ABS工程塑料,加厚壳体有效抗冲击,保障头部安全。帽体轻盈透气,内置可调...
    10

    网站栏目