1. 耦合电路的串联
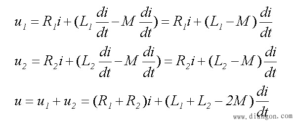
应注意耦合电感上的电压包含有互感电压,在列KVL方程时要计入互感电压。
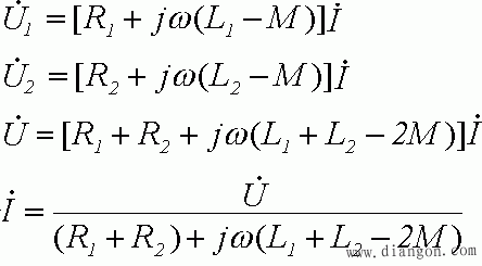
图中耦合电感电路是一个反向串联电路(由于互感起 "削弱" 作用),按图示参考方向,KVL方程为:

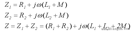
对于顺向串联电路,每条耦合电感支路的阻抗和电路的输入阻抗分别为:

2. 耦合电路的并联
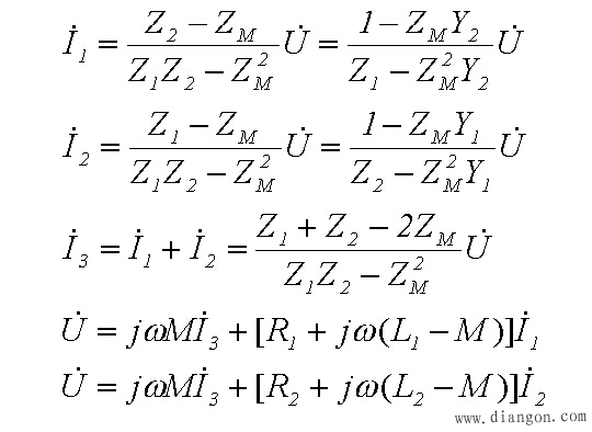
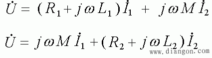
图中耦合电感电路是一种并联电路,由于同名端连接在一个结点上,称为同侧并联电路。反之称为异侧并联电路。在正弦稳态情况下,对于同侧并联电路有:
令 Z1= R1 jωL1,Z2= R2 jωL2, ZM= jωM,则有

去耦方法:如果耦合电感的 2 条支路各有一端与第 3 条支路形成一个仅含 3 条支路的共同结点,则可用 3 条无耦合的电感支路等效代替,3条支路的等效电感分别为:

|