配电网中的开关优化配置方案
时间:2023-03-14来源:佚名
|
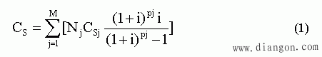
配电网中,就提高供电可靠性而言,断路器、隔离开关和切换开关越多,每段上用户就越少,则每次故障或计划维修造成停电影响的用户数就越少,可靠性也就越高;但从经济性上考虑,设备越多,其投资也越大,这样不一定能获得最大的经济效益。由此可见,可靠性与经济性之间有一个最佳的平衡点,因此,这就需要通过技术经济分析,确定每回线路的最优开关设备配置,以达到可靠性和经济性的相互协调。开关优化配置所要解决的正是这一问题。开关优化配置可以简化电网拓扑结构,提高资金使用效率,缩小故障影响范围,提高供电可靠性。同时,在正常运行时可通过网络重构降低网损,提高供电质量。另外,在电力市场条件下,电价与电能质量密切相关,最优切换可为配电网电价机制的改进、电力公司投资效益分析及风险分析提供科学的依据。 开关优化配置问题是非线性组合优化问题,传统的数学优化方法不适合于求解该问题。目前常用的数学模型计及了停电损失、投资以及维护费用等,最终确定最优开关数目及其配置位置。由于设备使用寿命可能不同,故一般选择等年值法进行经济评价,从而避免设备寿命差异带来的影响。 1.配电网开关优化的模型 1.1投资费用 开关设备总投资现值对应的等年值CS由下式给出: ![]() 式中:M为开关类型总数(开关类型有断路器、隔离开关、负荷开关、熔断器以及切换开关等):Nj为第j种开关增装的台数;Csj为第j种开关单台投资现值,即现值单价;i为贴现率;Pj为第i种开关设备的使用寿命。 1.2运行维修费用 开关设备每年的运行维修费用CM按其投资的百分数给出: CM=CSCO (2) 式中:CO为运行费用占投资的比例系数。 1.3停电损失费用 用户停电损失的确定是相当复杂的,它与许多因素有关,主要有以下几个方面。 1.3.1停电发生的时间 用户的活动通常具有时间性,因此不同的时间里用户的单位停电损失也不相同。如常日班的工业用户,其工作日的单位停电损失明显高于夜间或节假日。 1.3.2停电提前通知时间 一般来说,停电通知的时间越早,用户越能够为停电做好应有的准备,停电发生时所遭受的损失也就越小。但如果只计及设备突然故障时用户的停电损失,则无需考虑停电的提前通知时间。 1.3.3停电持续时间 一般在停电开始阶段,单位停电损失较大,而经过一段时间后,单位停电损失开始减小。这是因为停电所造成的直接损失基本上是一定的,但间接损失则随停电时间持续的长短而有所变化。 1.3.4停电频率 停电频率越高,用户活动所受干扰就越频繁,一般单位停电损失也越高。用户停电损失应该是上述各因素的函数。但是,用户停电损失函数很难精确确定,有些因素的影响程度也难以表达和计算,因此,要准确计算用户停电损失是非常困难的。目前一些国家通常采用以下几种简单的估算方法: (1)按GDP估算。这种估算方法按照每单位电量所造成的国民生产总值来确定平均停电损失,即GDP/总用电量。这种方法体现了停电对整体经济的平均影响,但无法反映停电对不同用户造成的具体影响。 (2)按电价倍数估算。这种方法根据对各类用户进行停电损失的调查分析,用平均电价的倍数来估算停电损失。 (3)综合考虑缺电功率、缺电量、停电持续时间以及停电频率。一些国家认为,工业用户停电损失与这四个因素有关,因而在计算停电损失时综合考虑了这些因素。 停电损失的计算不仅与国民经济的发展、国情以及电力和需求者管理水平有关,而且还与法制法规的健全与实施有关,其涉及面很广,问题也很复杂。综上,系统每年的停电损失费用CL可用下式表示: ![]() 式中:nLP为负荷点总数;Tj为第j个负荷点有Tj种停电持续时间分类;EENSjt为负荷点j第t停电持续时间对应的失电量;CLjt为负荷点j第t停电持续时间对应的单位停电损失。 1.4开关优化配置的数学模型 目标函数:min(C=CS CM CL) (4) 约束条件:可靠性约束R≥R0;节点电压约束Vb≤V≤Vmax;支路过负荷约束I≤Imax;树状运行约束;潮流约束。 其中,Vmin、Vmax分别为节点电压最低值和最高值;Imax为支路安全电流;CS、CM以及CL在以上章节中已给出相关定义。约束条件c和d主要针对有联络开关优化的情形。 2.配电网开关优化的算法 最优切换模型属非线性、不可微、连续一离散混合的组合优化问题;同时,目标函数不易用决策变量解析表达,其计算复杂性大,属组合优化难题。求解最优切换问题的方法很多,主要有: (1)馈线的简单分段法。该方法是线路分段的一种简化计算方法,它仅回答了线路分段的数量,而并未对分段位置作深入讨论。通过分析分段开关的设置与否对用户停电损失所带来的影响,给出了一个关于配电网主馈线各段分段开关是否应该设置的判定定理:仅在某段不设分段开关与所有段均设分段开关两种状态下系统的年停电损失之差小于分段开关的年费用时,应该在该段馈线首端装设分段开关。但该定理仅具充分性。 (2)直接计算法。通过位置枚举,比较不同配置下系统的可靠性,确定可能的候选方案。 (3)启发式方法将经验转化成逻辑规则,并根据规则进行开关设备配置。通过观察蚁群的生活特性,发现蚁群总能绕过障碍物在蚁巢和食物源之间寻找一条最短路径,基于此,专家们提出了一种新颖的启发式方法——蚁群算法。该方法已经成功应用于控制系统、通讯系统以及电力系统等。 提出一种支路交换法,以可靠性价值评估为基础。以系统停电损失最小为目标函数对系统开关设备进行重新配置。该文分两步确定隔离开关的新配置位置,每一步包含一启发式规则。利用系统信息,第一规则确定隔离开关的交换方向;在相同故障下,隔离开关交换前后某些负荷节点的故障类型将发生变化,进而系统停电损失也有所不同。第二规则用于确定某一开关的交换是否有利。文中引入变异技术以避免陷入局部最优解。 但是,总的来说,启发式方法逻辑规则的升华、规则对不同网络的适应性将受到严峻挑战。 (4)Bellmann方法。给出了开关优化配置的动态规划方法,得到了开关的最优配置方案。 (5)随机优化方法。主要有模拟退火(SA)、遗传算法(GA)等。 利用模拟退火方法对配电网络的开关设备进行了优化配置。文中对没有配置任何开关的初始网络以及任一支路前后皆配置隔离开关两种情况进行对比,前者没有投资但可靠性较低,因而停电损失费用高;后者则有很高的可靠性,停电损失较低,但有高昂的投资及其运行维护费用。因此,这两种方案之间必有一种能有效协调可靠性与经济性的开关配置方案。 基于免疫算法对开关设备进行了最优配置。给出了开关优化的数学模型及基于免疫算法的求解方法。分析了开关投资和运行维修费用、停电损失的计算方法,基于等年值法建立开关优化配置模型。通过模型计算确定开关的最优配置数目和位置,并得到系统的可靠性、投资费用和停电损失等。 随机优化方法常对一组个体进行操作,且对非线性、不可微等问题的求解有较大优势,但算法的控制参数较难于确定。 3.结语 开关优化一方面能够提高系统的供电可靠性,另一方面又能控制成本,使系统的可靠性和经济性达到最佳统一。随着电力市场体制的不断完善,如何通过开关优化配置来提高系统供电可靠性业已成为人们关注的焦点。 |









