正弦稳态电路的功率

时间:2023-03-14来源:佚名

1.正弦稳态情况下瞬时功率 p( t )

正弦稳态电路的功率
    对于一端口网络,选电压电流为关联参考方向,网络吸收的瞬时功率:

正弦稳态电路的功率
    单位用瓦特 /W 表示。

2.正弦稳态情况下平均功率/有功功率 P

    定义瞬时功率在一个周期内的平均值为平均功率或有功功率:
正弦稳态电路的功率
    单位用瓦特 /W 表示,式中 λ 被称为功率因数。

3.正弦稳态情况下无功功率 Q

    定义无功功率为:
正弦稳态电路的功率
    单位用乏 / var 表示,它反映了电源与负载每秒钟交换的能量的大小。

4.正弦稳态情况下视在功率 / 表观功率 S

    定义视在功率为:

正弦稳态电路的功率
    单位用伏安 / VA 表示。S 与 P 和 Q 的关系被称为功率三角形。

5.正弦稳态情况下的复功率

    把功率三角形放在复平面中,复功率的定义:
正弦稳态电路的功率
    单位用伏安 / VA 表示。复功率本身没有实际的物理意义,为计算方便使用。

6.正弦稳态情况下R、L、C 的功率

    正弦稳态情况下,电阻 R 的瞬时功率、有功功率、无功功率、视在功率为:

正弦稳态电路的功率
正弦稳态电路的功率
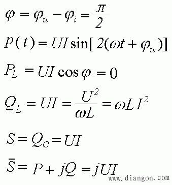
    正弦稳态情况下,电感 L 的瞬时功率、有功功率、无功功率、视在功率为:

正弦稳态电路的功率
正弦稳态电路的功率
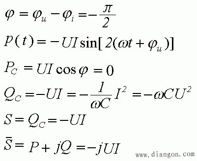
    正弦稳态情况下,电容 C 的瞬时功率、有功功率、无功功率、视在功率为:

正弦稳态电路的功率
正弦稳态电路的功率

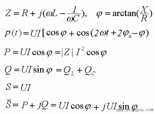
7.正弦稳态情况下RLC串联电路的功率

正弦稳态电路的功率
    有功功率、无功功率、视在功率的关系:

正弦稳态电路的功率
    U 的有功分量 Ua 和无功分量 Ur

正弦稳态电路的功率
正弦稳态电路的功率
    I 的有功分量 Ia 和无功分量 Ir

正弦稳态电路的功率
正弦稳态电路的功率

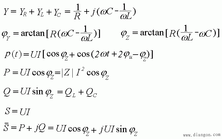
8.正弦稳态情况下 RLC 并联电路的功率

正弦稳态电路的功率

    相关阅读

    热销商品

    加厚abs安全帽电工建筑工地程施工领导监理透气防砸头盔可印字V型

    这款加厚ABS安全帽专为电工、建筑工地施工人员、领导及监理设计,采用高强度ABS工程塑料,抗冲击、防砸性能优异,有效保障头部安全。帽体加厚设计,增强耐用性与防护等级...
    5.8

    水口钳高硬度模型剪钳电子钳工业级口水剪斜嘴钳偏口斜口专用钳子

    水口钳高硬度模型剪钳是一款工业级精密工具,专为电子、模型制作及精细作业设计。采用优质高碳钢材质,经热处理工艺打造,具备卓越的硬度和耐磨性,可轻松剪切金属引脚、...
    4.8

    170电子剪钳II 如意斜口钳 工业斜嘴钳水口钳 模型剪塑胶钳尖嘴钳

    170电子剪钳II如意斜口钳是一款专业级精密工具,集工业斜嘴钳、水口钳、模型剪、塑胶钳与尖嘴钳功能于一体,适用于电子维修、模型制作、手工艺及精密作业。其采用优...
    4.5

    安全帽国标工地加厚施工领导透气安全头盔建筑工程监理免费印字

    本款安全帽严格遵循国家GB 2811-2019标准,专为建筑工程、工地施工及监理人员设计。采用高强度ABS工程塑料,加厚壳体有效抗冲击,保障头部安全。帽体轻盈透气,内置可调...
    10

    包邮三角型简易螺丝刀三角十字螺丝刀螺丝批改锥起子五金工具5mm

    这款5mm三角型简易螺丝刀,专为拧紧或拆卸三角形螺丝设计,适用于电子维修、家电维护及精密仪器装配等场景。采用优质合金钢材质,刀头硬度高、耐磨损,确保长久使用不变...
    3.64

    网站栏目