根据净输入量的增减来判断正负反馈和根据闭环增益的增减来判断正负反馈是否
时间:2023-03-14来源:佚名
|
将净输入量和增益联系起来,由闭环增益对正负反馈的定义推出正负反馈下净输入量的变化,得出两者是一致的结果。
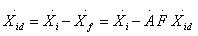
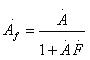
根据净输入量的增减来判断正负反馈:反馈后使净输入量减小的反馈为负反馈;反馈后使净输入量增大的反馈为正反馈。而根据闭环增益
的增减来判断正负反馈:当 时, ,为负反馈;当 时, ,为正反馈。这两种说法其实是一致的。因为: 净输入量: 所以, 由式1可知,当 |
的增减来判断正负反馈:当
时,
,为负反馈;当
时,
,为正反馈。这两种说法其实是一致的。因为:
,即:
--------------- ①
输入量减小,而按闭环增益表达式,
,净输入量增大,







