横联差动方向保护

时间:2023-03-14来源:佚名
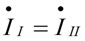
横联差动方向保护工作原理:按照比较双回线路电流之差大小和方向原理构成的保护称为平行双回线路横联差动方向保护。
在正常运行或区外故障时:

横联差动方向保护

横联差动方向保护
图1
双回线路内部K点发生短路故障,二者不相等。

横联差动方向保护
图2

    相关阅读

    全桥逆变电路原理详解

    单相逆变不间断电源设计电路中的全桥逆变电路部分。 它是由两个IR2101驱动和4个MOS管构成的全桥逆变电路。 提问:IR2101不是半桥驱动芯片吗?没错,的确是半桥驱动芯片,和IR2104一样...
    2023-10-16
    全桥逆变电路原理详解

    科普:一文了解LDO

    LDO,英文全名是Low Dropout Regulaor,顾名思义就是低压差线性稳压器,属于线性电源。为线性的稳压器,仅能使用在降压应用中,也就是输出电压必需小于输入电压。 LDO=low dropout regulato...
    2023-05-23
    科普:一文了解LDO

    单片机攻击技术及入侵过程

    目前,攻击单片机 主要有四种技术,分别是: (1)软件攻击 该技术通常使用处理器通信接口并利用协议、加密算法或这些算法中的安全漏洞来进行攻击。软件攻击取得成功的一个典...
    2023-03-21

    DIY一个高保真音频放大器电路

    您是否曾经在家中使用简单的组件构建过超酷的Hi-Fi音频放大器?如果没有在这里是你的指南,我很确定你会喜欢这个。本文讲述了如何制作带有输出晶体管保护电路和 2 分频扬声器保...
    2023-06-20
    DIY一个高保真音频放大器电路

    水电图纸图例大全,电气、弱电、给排水常用图例,请收好!

    建筑水电学看图例,必须先知道图纸里各种样式符号的名称,我们通常称之为:图例。图例通常设计在【 设计总说明】 ,也有部分图纸图例设计在平面图旁。建筑水电图纸识图必须先...
    2023-06-11
    水电图纸图例大全,电气、弱电、给排水常用图例,请收好!

    热销商品

    加厚abs安全帽电工建筑工地程施工领导监理透气防砸头盔可印字V型

    这款加厚ABS安全帽专为电工、建筑工地施工人员、领导及监理设计,采用高强度ABS工程塑料,抗冲击、防砸性能优异,有效保障头部安全。帽体加厚设计,增强耐用性与防护等级...
    5.8

    水口钳高硬度模型剪钳电子钳工业级口水剪斜嘴钳偏口斜口专用钳子

    水口钳高硬度模型剪钳是一款工业级精密工具,专为电子、模型制作及精细作业设计。采用优质高碳钢材质,经热处理工艺打造,具备卓越的硬度和耐磨性,可轻松剪切金属引脚、...
    4.8

    170电子剪钳II 如意斜口钳 工业斜嘴钳水口钳 模型剪塑胶钳尖嘴钳

    170电子剪钳II如意斜口钳是一款专业级精密工具,集工业斜嘴钳、水口钳、模型剪、塑胶钳与尖嘴钳功能于一体,适用于电子维修、模型制作、手工艺及精密作业。其采用优...
    4.5

    安全帽国标工地加厚施工领导透气安全头盔建筑工程监理免费印字

    本款安全帽严格遵循国家GB 2811-2019标准,专为建筑工程、工地施工及监理人员设计。采用高强度ABS工程塑料,加厚壳体有效抗冲击,保障头部安全。帽体轻盈透气,内置可调...
    10

    包邮三角型简易螺丝刀三角十字螺丝刀螺丝批改锥起子五金工具5mm

    这款5mm三角型简易螺丝刀,专为拧紧或拆卸三角形螺丝设计,适用于电子维修、家电维护及精密仪器装配等场景。采用优质合金钢材质,刀头硬度高、耐磨损,确保长久使用不变...
    3.64

    网站栏目