互感的概念
时间:2023-03-14来源:佚名
|
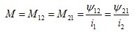
一、互感现象 1.自感 一个线圈中的电流发生变化时,在本线圈中引起的电磁感应现象。在本线圈中相应产生的感应电压称为自感电压,用uL表示。 2.互感 两个相邻的闭合线圈L1和L2,一个线圈中的电流发生变化,在相邻线圈中引起的电磁感应现象。在相邻线圈中产生的感应电压称为互感电压,用u12表示。注脚中的12是说明线圈1的磁场在线圈2中的作用。 二、互感电压 通过两线圈的电流是交变的电流,交变电流产生交变的磁场,当交变的磁链穿过线圈L1和 |
![]() |
|
自感电压总是与本线圈中通过的电流取关联参考方向,因此前面均取正号;而互感电压前面的正、负号要依据两线圈电流的磁场是否一致。如上图所示两线圈电流产生的磁场方向一致,因此两线圈中的磁场相互增强,这时它们产生的互感电压前面取正号;若两线圈电流产生的磁场相互消弱时,它们产生的感应电压前面应取负号。 |
|
|
| 互感现象的应用和危害 1)互感现象在电工电子技术中有着广泛的应用,变压器就是互感现象应用的重要例子。 2)变压器一般由绕在同一铁芯上的两个匝数不同的线圈组成,当其中一个线圈中通上交流电时,另一线圈中就会感应出数值不同的感应电动势,输出不同的电压,从而达到变换电压的目的。利用这个原理,可以把十几伏特的低电压升高到几万甚至几十万伏特。如高压感应圈、电视机行输出变压器、电压、电流互感器等。 3)互感现象的主要危害:由于互感的存在,电子电路中许多电感性器件之间存在着不希望有的互感干扰,这种干扰影响电路中信号的传输质量。 三、耦合系数和同名端 1.耦合系数 两互感线圈之间电磁感应现象的强弱程度不仅与它们之间的互感系数有关,还与它们各自的自感系数有关,并且取决于两线圈之间磁链耦合的松紧程度。 把表征两线圈之间磁链耦合的松紧程度用耦合系数“k” 来表示: |
![]() |
|
通常一个线圈产生的磁通不能全部穿过另一个线圈,所以一般情况下耦合系数k<1,若漏磁通很小且可忽略不计时:k=1;若两线圈之间无互感,则M=0,k=0。因此,耦合系数的变化范围:0 ≤ k ≤ 1。 |
![]() |










