非对称三相电路的概念

时间:2023-03-14来源:佚名
    不对称三相电路,一般是电源对称,负载不对称:

非对称三相电路的概念
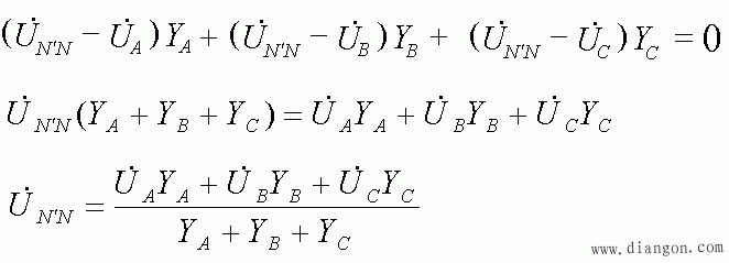
    当 S 打开,列结点方程:

非对称三相电路的概念
    因负载不对称,当开关 S 闭合后,有:
非对称三相电路的概念
    A 相中的电流是否受其它两相负载的影响?

    相关阅读

    三电源切换电路图和工作原理讲解

    双电源切换我们都很熟悉,也很常用,一般是一个外部电源加一个内部电池,外部电源优先级高于电池。 有电池,电池给系统供电,有外部电源,外部电源给系统供电,两者都有时,外...
    2023-08-10
    三电源切换电路图和工作原理讲解

    精密整流电路图讲解 使用运算放大器的精密整流电路设计

    今天我们来了解一下使用运算放大器的精密整流电路的类型。当电压处于低 mV 范围时,我们不能使用二极管作为交流电压整流器。因此这种运算放大器整流器在滤波器、各种信号测量等...
    2023-08-01
    精密整流电路图讲解 使用运算放大器的精密整流电路设计

    MOS管最常见的几种应用电路(开关、放大、时序、双向电平)

    一、开关和放大器 MOS管最常见的电路可能就是开关和放大器。 1. 开关电路 G极作为普通开关控制MOS管。 2. 放大电路 让MOS管工作在放大区,具体仿真结果可在上节文章看到。 二、时序电...
    2023-06-06
    MOS管最常见的几种应用电路(开关、放大、时序、双向电平)

    反相输入放大器电路原理图解

    电子电路中的运算放大器,有同相输入端和反相输入端,输入端的极性和输出端是同一极性的就是同相放大器,而输入端的极性和输出端相反极性的则称为反相放大器。我们都知道反相...
    2023-05-23
    反相输入放大器电路原理图解

    什么是集成电路

    集成电路 (Integrated Circuit, 通常简称IC) ,又称为集成电路。是指将很多微电子 器件集成在芯片上的一种高级微电子器件。通常使用硅为基础材料,在上面通过扩散或渗透技术形成N型和...
    2023-03-21

    热销商品

    加厚abs安全帽电工建筑工地程施工领导监理透气防砸头盔可印字V型

    这款加厚ABS安全帽专为电工、建筑工地施工人员、领导及监理设计,采用高强度ABS工程塑料,抗冲击、防砸性能优异,有效保障头部安全。帽体加厚设计,增强耐用性与防护等级...
    5.8

    水口钳高硬度模型剪钳电子钳工业级口水剪斜嘴钳偏口斜口专用钳子

    水口钳高硬度模型剪钳是一款工业级精密工具,专为电子、模型制作及精细作业设计。采用优质高碳钢材质,经热处理工艺打造,具备卓越的硬度和耐磨性,可轻松剪切金属引脚、...
    4.8

    170电子剪钳II 如意斜口钳 工业斜嘴钳水口钳 模型剪塑胶钳尖嘴钳

    170电子剪钳II如意斜口钳是一款专业级精密工具,集工业斜嘴钳、水口钳、模型剪、塑胶钳与尖嘴钳功能于一体,适用于电子维修、模型制作、手工艺及精密作业。其采用优...
    4.5

    安全帽国标工地加厚施工领导透气安全头盔建筑工程监理免费印字

    本款安全帽严格遵循国家GB 2811-2019标准,专为建筑工程、工地施工及监理人员设计。采用高强度ABS工程塑料,加厚壳体有效抗冲击,保障头部安全。帽体轻盈透气,内置可调...
    10

    包邮三角型简易螺丝刀三角十字螺丝刀螺丝批改锥起子五金工具5mm

    这款5mm三角型简易螺丝刀,专为拧紧或拆卸三角形螺丝设计,适用于电子维修、家电维护及精密仪器装配等场景。采用优质合金钢材质,刀头硬度高、耐磨损,确保长久使用不变...
    3.64

    网站栏目