三相异步电动机的多变量非线性数学模型

时间:2023-03-14来源:佚名

假设条件:
(1)忽略空间谐波,设三相绕组对称,在空间互差120°电角度,所产生的磁动势沿气隙周围按正弦规律分布;
(2)忽略磁路饱和,各绕组的自感和互感都是恒定的;
(3)忽略铁心损耗;
(4)不考虑频率变化和温度变化对绕组电阻的影响。

三相异步电动机的多变量非线性数学模型
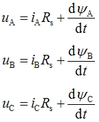
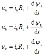
1. 电压方程
三相定子绕组的电压平衡方程为 :
三相异步电动机的多变量非线性数学模型
电压方程(续)
与此相应,三相转子绕组折算到定子侧后的电压方程为:
三相异步电动机的多变量非线性数学模型
电压方程的矩阵形式
将电压方程写成矩阵形式,并以微分算子 p 代替微分符号 d /dt
三相异步电动机的多变量非线性数学模型
或写成三相异步电动机的多变量非线性数学模型(6-67b)
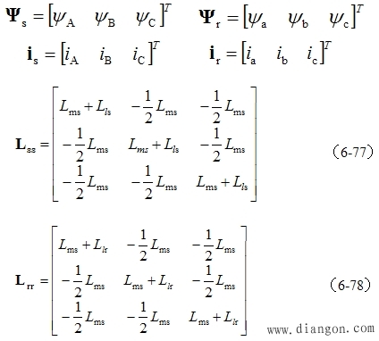
2. 磁链方程
每个绕组的磁链是它本身的自感磁链和其它绕组对它的互感磁链之和,因此,六个绕组的磁链可表达为 :
三相异步电动机的多变量非线性数学模型
或写成三相异步电动机的多变量非线性数学模型(6-68b)

电感矩阵
式中,L 是6×6电感矩阵,其中对角线元素 LAA, LBB, LCC,Laa,Lbb,Lcc 是各有关绕组的自感,其余各项则是绕组间的互感。
实际上,与电机绕组交链的磁通主要只有两类:一类是穿过气隙的相间互感磁通,另一类是只与一相绕组交链而不穿过气隙的漏磁通,前者是主要的。
电感的种类和计算
定子漏感 Lls ——定子各相漏磁通所对应的电感,由于绕组的对称性,各相漏感值均相等;
转子漏感 Lk ——转子各相漏磁通所对应的电感。
定子互感 Lms——与定子一相绕组交链的最大互感磁通;
转子互感 Lmr——与转子一相绕组交链的最大互感磁通。
由于折算后定、转子绕组匝数相等,且各绕组间互感磁通都通过气隙,磁阻相同,故可认为:

三相异步电动机的多变量非线性数学模型
自感表达式
对于每一相绕组来说,它所交链的磁通是互感磁通与漏感磁通之和,因此,定子各相自感为:
三相异步电动机的多变量非线性数学模型
转子各相自感为 :
三相异步电动机的多变量非线性数学模型

互感表达式
两相绕组之间只有互感。互感又分为两类:
(1) 定子三相彼此之间和转子三相彼此之间位置都是固定的,故互感为常值;
(2) 定子任一相与转子任一相之间的位置是变化的,互感是角位移 的函数
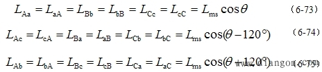
第一类固定位置绕组的互感
三相绕组轴线彼此在空间的相位差是±120°,在假定气隙磁通为正弦分布的条件下,互感值应为,

三相异步电动机的多变量非线性数学模型
于是,
三相异步电动机的多变量非线性数学模型
第二类变化位置绕组的互感
定、转子绕组间的互感,由于相互间位置的变化(见图6-44),可分别表示为:
三相异步电动机的多变量非线性数学模型

当定、转子两相绕组轴线一致时,两者之间的互感值最大,就是每相最大互感 Lms 。
磁链方程
将式(6-69)~式(6-75)都代入式(6-68a),即得完整的磁链方程,显然这个矩阵方程是比较复杂的,为了方便起见,可以将它写成分块矩阵的形式

三相异步电动机的多变量非线性数学模型
式中
三相异步电动机的多变量非线性数学模型
三相异步电动机的多变量非线性数学模型
三相异步电动机的多变量非线性数学模型

值得注意的是,三相异步电动机的多变量非线性数学模型三相异步电动机的多变量非线性数学模型两个分块矩阵互为转置,且均与转子位置三相异步电动机的多变量非线性数学模型有关,它们的元素都是变参数,这是系统非线性的一个根源。为了把变参数转换成常参数须利用坐标变换,后面将详细讨论这个问题。
电压方程的展开形式
如果把磁链方程(6-68b)代入电压方程(6-67b)中,即得展开后的电压方程 :

三相异步电动机的多变量非线性数学模型

式中,三相异步电动机的多变量非线性数学模型项属于电磁感应电动势中的脉变电动势(或称变压器电动势),三相异步电动机的多变量非线性数学模型项属于电磁感应电动势中与转速成正比的旋转电动势。
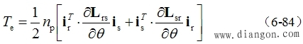
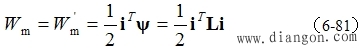
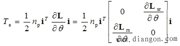
3. 转矩方程
根据机电能量转换原理,在多绕组电机中,在线性电感的条件下,磁场的储能和磁共能为 :

三相异步电动机的多变量非线性数学模型
而电磁转矩等于机械角位移变化时磁共能的变化率(电流约束为常值),且机械角位移三相异步电动机的多变量非线性数学模型,于是
三相异步电动机的多变量非线性数学模型
转矩方程的矩阵形式
将式(6-81)代入式(6-82),并考虑到电感的分块矩阵关系式(6-77)~(6-79),得:
三相异步电动机的多变量非线性数学模型
三相异步电动机的多变量非线性数学模型
又由于
三相异步电动机的多变量非线性数学模型
代入式(6-83)得:
三相异步电动机的多变量非线性数学模型
该方程适用变压变频器供电含有电流谐波三相异步电动机
转矩方程的三相坐标系形式
以式(6-79)代入式(6-84)并展开后,舍去负号,意即电磁转矩的正方向为使 q 减小的方向,则
三相异步电动机的多变量非线性数学模型

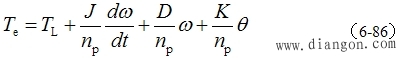
4. 电力拖动系统运动方程
在一般情况下,电力拖动系统的运动方程式是

三相异步电动机的多变量非线性数学模型

TL —— 负载阻转矩;
J —— 机组的转动惯量;
D —— 与转速成正比的阻转矩阻尼系数;
K —— 扭转弹性转矩系数。
运动方程的简化形式
对于恒转矩负载,D = 0 , K = 0 ,则三相异步电动机的多变量非线性数学模型

5. 三相异步电机的数学模型
将式(6-76),式(6-80),式(6-85)和式(6-87)综合起来,再加上三相异步电动机的多变量非线性数学模型,便构成在恒转矩负载下三相异步电机的多变量非线性数学模型,用结构图表示出来如下图所示:

异步电机的多变量非线性动态结构图
三相异步电动机的多变量非线性数学模型

    热销商品

    加厚abs安全帽电工建筑工地程施工领导监理透气防砸头盔可印字V型

    这款加厚ABS安全帽专为电工、建筑工地施工人员、领导及监理设计,采用高强度ABS工程塑料,抗冲击、防砸性能优异,有效保障头部安全。帽体加厚设计,增强耐用性与防护等级...
    5.8

    水口钳高硬度模型剪钳电子钳工业级口水剪斜嘴钳偏口斜口专用钳子

    水口钳高硬度模型剪钳是一款工业级精密工具,专为电子、模型制作及精细作业设计。采用优质高碳钢材质,经热处理工艺打造,具备卓越的硬度和耐磨性,可轻松剪切金属引脚、...
    4.8

    170电子剪钳II 如意斜口钳 工业斜嘴钳水口钳 模型剪塑胶钳尖嘴钳

    170电子剪钳II如意斜口钳是一款专业级精密工具,集工业斜嘴钳、水口钳、模型剪、塑胶钳与尖嘴钳功能于一体,适用于电子维修、模型制作、手工艺及精密作业。其采用优...
    4.5

    安全帽国标工地加厚施工领导透气安全头盔建筑工程监理免费印字

    本款安全帽严格遵循国家GB 2811-2019标准,专为建筑工程、工地施工及监理人员设计。采用高强度ABS工程塑料,加厚壳体有效抗冲击,保障头部安全。帽体轻盈透气,内置可调...
    10

    包邮三角型简易螺丝刀三角十字螺丝刀螺丝批改锥起子五金工具5mm

    这款5mm三角型简易螺丝刀,专为拧紧或拆卸三角形螺丝设计,适用于电子维修、家电维护及精密仪器装配等场景。采用优质合金钢材质,刀头硬度高、耐磨损,确保长久使用不变...
    3.64

    网站栏目